ÌâÄ¿ÄÚÈÝ

£¨18·Ö£©ÖÊÁ¿Îªm=1kgµÄСÎï¿éÇáÇá·ÅÔÚˮƽÔÈËÙÔ˶¯µÄ´«ËÍ´øÉϵÄPµã£¬Ëæ´«ËÍ´øÔ˶¯µ½AµãºóˮƽÅ׳ö£¬Ð¡Îï¿éÇ¡ºÃÎÞÅöײµÄÑØÔ²»¡ÇÐÏß´ÓBµã½øÈëÊúÖ±¹â»¬µÄÔ²¹Â¹ìµÀÏ»¬¡£B¡¢CΪԲ»¡µÄÁ½¶Ëµã£¬ÆäÁ¬Ïßˮƽ¡£ÒÑÖªÔ²»¡°ë¾¶R=1.0mÔ²»¡¶ÔÓ¦Ô²ÐĽǣ¬¹ìµÀ×îµÍµãΪO£¬Aµã¾àË®Æ½ÃæµÄ¸ß¶Èh=0.8m,СÎï¿éÀ뿪CµãºóÇ¡ÄÜÎÞÅöײµÄÑØ¹Ì¶¨Ð±ÃæÏòÉÏÔ˶¯£¬0.8sºó¾­¹ýDµã£¬Îï¿éÓëÐ±Ãæ¼äµÄ¶¯Ä¦²ÁÒòÊýΪ= (g=10m/s2,sin37¡ã=0.6,cos37¡ã=0.8£©

ÊÔÇ󣺣¨1£©Ð¡Îï¿éÀ뿪AµãʱµÄˮƽ³õËÙ¶Èv1 ¡££¨2£©Ð¡Îï¿é¾­¹ýOµãʱ¶Ô¹ìµÀµÄѹÁ¦¡£ 

£¨3£©¼ÙÉèСÎï¿éÓë´«ËÍ´ø¼äµÄ¶¯Ä¦²ÁÒòÊýΪ0.3£¬´«ËÍ´øµÄËÙ¶ÈΪ5m/s£¬ÔòPA¼äµÄ¾àÀëÊǶàÉÙ£¿

£¨4£©Ð±ÃæÉÏCD¼äµÄ¾àÀë¡£

 

¡¾´ð°¸¡¿

£¨1£©3m/s£¨2£©43N  £¨3£©1.5m£¨4£©0.98m

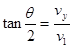
¡¾½âÎö¡¿£¨1£©¶ÔСÎï¿é£¬ÓÉAµ½BÓУº----- 1·Ö ÔÚBµã---- 1·Ö

ËùÒÔ ----- 2·Ö

£¨2£©¶ÔСÎï¿é£¬ÓÉBµ½OÓУº   ----- 1·Ö

ÆäÖР   ----- 1·Ö  

ÔÚOµã  ----- 1·Ö  ËùÒÔN=43N 

ÓÉÅ£¶ÙµÚÈý¶¨ÂÉÖª¶Ô¹ìµÀµÄѹÁ¦Îª ----- 2·Ö

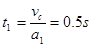
£¨3£©Ð¡Îï¿éÔÚ´«ËÍ´øÉϼÓËÙ¹ý³Ì£º  ----- 1·Ö 

PA¼äµÄ¾àÀëÊÇ ----- 2·Ö

£¨4£©Îï¿éÑØÐ±ÃæÉÏ»¬£º----- 1·Ö

ËùÒÔ

Îï¿éÑØÐ±ÃæÉÏ»¬£º ----- 1·Ö

ÓÉ»úеÄÜÊØºãÖª

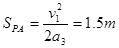
СÎï¿éÓÉCÉÏÉýµ½×î¸ßµãÀúʱ----- 1·Ö 

СÎï¿éÓÉ×î¸ßµã»Øµ½DµãÀúʱ   ----- 1·Ö

¹Ê   ----- 1·Ö

¼´ ----- 1·Ö

±¾Ì⿼²é¶¯Äܶ¨Àí¡¢Æ½Å×Ô˶¯¹æÂÉ£¬¸ù¾ÝСÇòÄÜÑØ»¡ÏßµÄÇÐÏß½øÈë¹ìµÀ£¬¿ÉÅжÏСÇòÔÚBµãËÙ¶È£¬°Ñ¸ÃËÙ¶È·Ö½â¿ÉÇóµÃˮƽ·ÖËÙ¶È£¬Ð¡ÇòÔÚOµã£¬Ö§³ÖÁ¦ºÍÖØÁ¦µÄºÏÁ¦ÌṩÏòÐÄÁ¦£¬Óɶ¯Äܶ¨ÀíÇóµÃСÇòÓÉBµ½C¹ý³ÌÖÐÖØÁ¦×ö¹¦£¬¼´¿ÉÇóµÃCµãËÙ¶È´óС£¬ÔÙÓÉÅ£¶ÙµÚ¶þ¶¨ÀíÁÐʽÇó½â

 

Á·Ï°²áϵÁдð°¸
Ïà¹ØÌâÄ¿

Î¥·¨ºÍ²»Á¼ÐÅÏ¢¾Ù±¨µç»°£º027-86699610 ¾Ù±¨ÓÊÏ䣺58377363@163.com

¾«Ó¢¼Ò½ÌÍø