ÌâÄ¿ÄÚÈÝ
£¨10·Ö£©ÌØÕ½¶ÓÔ±´ÓÐüÍ£ÔÚ¿ÕÖÐÀëµØ55m¸ßµÄÖ±Éý»úÉÏÑØÉþÏ»¬½øÐнµÂäѵÁ·£¬Ä³ÌØÕ½¶ÓÔ±ºÍËûЯ´øµÄÎäÆ÷ÖÊÁ¿¹²Îª80kg£¬ÉèÌØÕ½¶ÓÔ±ÓÃÌØÖÆµÄÊÖÌ×ÇáÎÕÉþ×Óʱ¿É»ñµÃ200NµÄĦ²Á×èÁ¦£¬½ôÎÕÉþ×Óʱ¿É»ñµÃ1000NµÄĦ²Á×èÁ¦£¬Ï»¬¹ý³ÌÖÐÌØÕ½¶ÓÔ±ÖÁÉÙÇáÎÕÉþ×Ó²ÅÄÜÈ·±£°²È«£¬£¨
£©¡£ÊÔÇó£º
![]()
£¨1£©ÌØÕ½¶ÓÔ±ÇáÎÕÉþ×Ó½µÂäʱµÄ¼ÓËٶȵĴóС£»
£¨2£©ÈôÒªÇóÌØÕ½¶ÓÔ±×ŵØÊ±µÄËٶȲ»´óÓÚ5m/s£¬ÔòÌØÕ½¶ÓÔ±ÔÚ¿ÕÖÐÏ»¬µÄ×îÉÙʱ¼äΪ¶àÉÙ£¿
¡¾´ð°¸¡¿
£¨1£©
£¨2£©6s
¡¾½âÎö¡¿
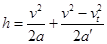
ÊÔÌâ·ÖÎö£º£¨1£©¸ù¾ÝÅ£¶ÙµÚ¶þ¶¨Âɿɵãº
£¨2·Ö£©½âµÃ£º
£¨2·Ö£©
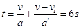
£¨2£©ÏÈÇáÎÕÉþ×ÓÏ»¬£¬ÔÙ½ôÎÕÉþ×ÓÒÔ×î´óµÄĦ²Á×èÁ¦×ö¼õËÙÔ˶¯£¬×ŵØÊ±ËÙ¶ÈΪ5m/s¡£ÕâÑùµÄÏ»¬¹ý³ÌËùÐèʱ¼ä×îÉÙ¡£
ÓÐ×î´óµÄĦ²Á×èÁ¦Ê±£º
ËùÒÔ£º
£¨2·Ö£©
É裺ÆäÖÐ×î´óËÙ¶ÈΪv£¬
ÓУº
£¨2·Ö£©
½âµÃ£º![]()
ËùÒÔ£º
£¨2·Ö£©
¿¼µã£º¿¼²éÁËÅ£¶ÙµÚ¶þ¶¨ÂÉ£¬Ä¦²ÁÁ¦£¬Ô˶¯Ñ§¹«Ê½
Á·Ï°²áϵÁдð°¸
Ïà¹ØÌâÄ¿