题目内容

如图所示,质量为M的木块静止在光滑水平面上,质量为m的子弹以水平速度v射入木块,并留在木块里。已知在子弹射入木块的过程中子弹发生的位移为s,木块发生的位移为s,子弹进入木块深度为s,子弹受到阻力大小恒为f,子弹射入木块后二者的共同速度为v,不计空气阻力影响,下列说法中不正确的是

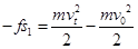
A.                               B.

C.                          D.

 

【答案】

D

【解析】

试题分析:动能定理告诉我们合外力做功等于动能变化量,功的计算公式中的位移都是相对地面的位移。对子弹有阻力做负功,对照A正确,对木块,B对。综合前面的等式相加有,子弹木块位移之差就是子弹进入木块的深度,整理可得,C对。D错。

考点:动能定理

 

练习册系列答案
相关题目

违法和不良信息举报电话:027-86699610 举报邮箱:58377363@163.com

精英家教网