题目内容

(14分)如图甲所示,“”形木块放在光滑水平地面上,木块水平表面AB粗糙,光滑表面BC与水平面夹角为θ=37°。木块右侧与竖直墙壁之间连接着一个力传感器,当力传感器受压时,其示数为正值;当力传感器被拉时,其示数为负值。一个可视为质点的滑块从C点由静止开始下滑,运动过程中,传感器记录到的力和时间的关系如图乙所示。已知sin37°=0.6,cos37°=0.8,g取10m/s2,求:

 

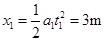
(1)斜面BC的长度;

(2)滑块的质量;

(3)运动过程中滑块克服摩擦力做的功。

 

【答案】

(1)3m   (2)2.5kg    (3)40J

【解析】

试题分析:(1)对滑块进行受力分析,如图所示。

由牛顿第二定律得:

由图像可知滑块在斜面上运动的时间为:

由运动学公式得:

(2)滑块对斜面的压力为:

木块对传感器的压力为:

由图像可知:

解得

(3)滑块滑到B点时的速度为:

由图像可知:

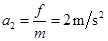
滑块受到的摩擦力

滑块的加速度

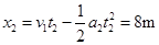
木板AB的长为:

运动过程中滑块克服摩擦力做的功为:

考点: 本题考查了牛顿第二定律和匀变速直线运动的基本规律。

 

练习册系列答案
相关题目

违法和不良信息举报电话:027-86699610 举报邮箱:58377363@163.com

精英家教网