题目内容
在水平长直的轨道上,有一长度为L的平板车在外力控制下始终保持速度v做匀速直线运动.某时刻将一质量为m的小滑块轻放到车面的中点,滑块与车面间的动摩擦因数为μ.(1)证明:若滑块最终停在小车上,滑块和车摩擦产生的内能与动摩擦因数μ无关,是一个定值.
(2)已知滑块与车面间动摩擦因数μ=0.2,滑块质量m=1kg,车长L=2m,车速v=4m/s,取g=10m/s2,当滑块放到车面中点的同时对该滑块施加一个与车运动方向相同的恒力F,要保证滑块不能从车的左端掉下,恒力F大小应该满足什么条件?
(3)在(2)的情况下,力F取最小值,要保证滑块不从车上掉下,力F的作用时间应该在什么范围内?
【答案】分析:(1)滑块和车摩擦产生的内能等于滑块和车之间摩擦力做的功,该功等于滑动摩擦力×滑块相对于小车的位移;
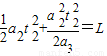
(2)滑块不从左端掉下来,即滑块相对于车的位移不能大于
,列式可得;
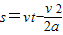
(3)力F取最小值时,滑块刚好不会在最左端滑下,此时滑块与车速度相同,可求得力F作用的最短时间
;如果此时力继续作用,滑块将在F作用下以v向右加速运动,为不从最右端滑出,滑块须加速运动一段时间t后力F停止作用,在阻力作用下再做减速运动,当滑到达最右端时与车同速,此时力F作用的时间最大,最大时间为:tmax=tmin+t.
解答:解:(1)根据牛顿第二定律,滑块相对车滑动时的加速度
滑块相对车滑动的时间
滑块相对车滑动的距离
滑块与车摩擦产生的内能 Q=μmgs
由上述各式解得
(与动摩擦因数μ无关的定值)
(2)设恒力F取最小值为F1,滑块加速度为a1,此时滑块恰好到达车的左端,则
滑块运动到车左端的时间
①
由几何关系有
②
由牛顿定律有 F1+μmg=ma1③
由①②③式代入数据解得 t1=0.5s,F1=6N
则恒力F大小应该满足条件是 F≥6N
(3)力F取最小值,当滑块运动到车左端后,为使滑块恰不从右端滑出,相对车先做匀加速运动(设运动加速度为a2,时间为t2),再做匀减速运动(设运动加速度大小为a3).到达车右端时,与车达共同速度.则有F1-μmg=ma2④
μmg=ma3⑤
⑥
由④⑤⑥式代入数据解得
则力F的作用时间t应满足 t1≤t≤t1+t2,即0.5s≤t≤1.08s
点评:对物体运动的正确判断,物体从端不滑下的前提是车的位移-物体的位移小于
,物体不从右端滑出,物体在力F作用下加速运动,当撤去F后,物体在滑动摩擦力作用下做减速直线运动,当速度与车相同时,注意车和物体的位移关系.
(2)滑块不从左端掉下来,即滑块相对于车的位移不能大于
(3)力F取最小值时,滑块刚好不会在最左端滑下,此时滑块与车速度相同,可求得力F作用的最短时间
解答:解:(1)根据牛顿第二定律,滑块相对车滑动时的加速度
滑块相对车滑动的时间
滑块相对车滑动的距离
滑块与车摩擦产生的内能 Q=μmgs
由上述各式解得
(2)设恒力F取最小值为F1,滑块加速度为a1,此时滑块恰好到达车的左端,则
滑块运动到车左端的时间
由几何关系有
由牛顿定律有 F1+μmg=ma1③
由①②③式代入数据解得 t1=0.5s,F1=6N
则恒力F大小应该满足条件是 F≥6N
(3)力F取最小值,当滑块运动到车左端后,为使滑块恰不从右端滑出,相对车先做匀加速运动(设运动加速度为a2,时间为t2),再做匀减速运动(设运动加速度大小为a3).到达车右端时,与车达共同速度.则有F1-μmg=ma2④
μmg=ma3⑤
由④⑤⑥式代入数据解得
则力F的作用时间t应满足 t1≤t≤t1+t2,即0.5s≤t≤1.08s
点评:对物体运动的正确判断,物体从端不滑下的前提是车的位移-物体的位移小于
练习册系列答案
相关题目