题目内容

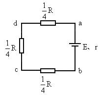
如图所示,abcd是一边长为l的匀质正方形导线框.总电阻为R,今使线框以恒定速度v水平向右穿过方向垂直于纸面向里的匀强磁场区域,已知磁感应强度为B,磁场宽度为3l,求线框在进入磁区、完全进入磁区和穿出磁区三个过程中a、b两点间电势差的大小.

答案:略
解析:

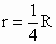
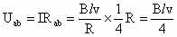
解:(1)导线框在进入磁区过程中,ab相当于电源,等效电路如图所示.

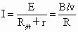
E=Blv为端电压;

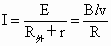
(2)导线框全部进入过程中,磁通量不变,感应电流I=0,但

(3)导线框在穿出磁区过程中,cd相当于电源,等效电路如图所示.

E=Blv


练习册系列答案
相关题目

违法和不良信息举报电话:027-86699610 举报邮箱:58377363@163.com

精英家教网