题目内容

矩形线圈在匀强磁场中匀速转动,从中性面开始转动1800的过程中,平均感应电动势和最大感应电动势之比为:(     )

A.π/2         B.2π             C.π             D.2/π

 

【答案】

D

【解析】

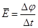
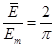
试题分析:设线圈匀速转动的角速度为,由得: ,而

故:,D正确

考点:交流发电机模型

 

练习册系列答案
相关题目

违法和不良信息举报电话:027-86699610 举报邮箱:58377363@163.com

精英家教网