题目内容
如图所示,在倾角为30°的光滑斜面上,一个质量为m的小物体(可视为质点),从距地面h=3.2m高处由静止沿斜面下滑,重力加速度g=10m/s2,求:![]()
(1)物体沿斜面下滑的加速度大小;
(2)物体由静止沿斜面下滑,到达斜面底端的速度大小;
(1)
,(2)8m/s;
解析试题分析:(1)对物体进行受力分析,根据牛顿第二定律
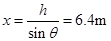
得![]()
(2)斜面长度![]()
由
得![]()
考点:牛顿第二定律的应用
点评:本题是于牛顿第二定律的简单应用,属于已知受力情况分析运动情况的问题,加速度是联系力与运动的桥梁。
练习册系列答案
相关题目
| A、v=v0 | ||
| B、线框离开MN的过程中电流方向为adcba | ||
| C、当ab边刚越过JP时,线框加速度的大小为3 gsinθ | ||
D、从ab边刚越过GH到ab边刚越过MN过程中,线框产生的热量为2mgLsinθ+
|