ÌâÄ¿ÄÚÈÝ
ÈçͼËùʾ£¬ÖÊÁ¿Îªm1µÄÎïÌåA¾Ò»ÇáÖʵ¯»ÉÓëÏ·½Ð±ÃæÉϵÄÖÊÁ¿Îªm2µÄÎïÌåBÏàÁ¬£¬µ¯»ÉµÄ¾¢¶ÈϵÊýΪk£¬Ð±ÃæÊǹ⻬µÄ£¬ÆäÇã½ÇΪ¦È£®A¡¢B¶¼´¦ÓÚ¾²Ö¹×´Ì¬£®Ò»Ìõ²»¿ÉÉ쳤µÄÇáÉþÈÆ¹ýÇỬÂÖ£¬Ò»¶ËÁ¬ÎïÌåA£¬ÁíÒ»¶ËÁ¬Ò»Çá¹Ò¹³£®¿ªÊ¼Ê±¸÷¶ÎÉþ¶¼´¦ÓÚÉìֱ״̬£¬AÉÏ·½µÄÒ»¶ÎÉþÑØÐ±Ãæ·½Ïò£®ÏÖÔÚ¹Ò¹³ÉϹÒÒ»ÖÊÁ¿Îªm3µÄÎïÌåC²¢´Ó¾²Ö¹×´Ì¬ÊÍ·Å£¬ÒÑÖªËüÇ¡ºÃÄÜʹBÀ뿪µ²°åµ«²»¼ÌÐøÉÏÉý£®Èô½«C»»³ÉÁíÒ»¸öÖÊÁ¿Îª£¨m1+m3£©µÄÎïÌåD£¬ÈÔ´ÓÉÏÊö³õʼλÖÃÓɾ²Ö¹×´Ì¬ÊÍ·Å£¬ÒÑÖªÖØÁ¦¼ÓËÙ¶ÈΪg£®Ç󣺣¨1£©µ±B¸ÕÀ뿪µ²°åʱÎïÌåAµÄ¼ÓËÙ¶È
£¨2£©µ±B¸ÕÀ뿪µ²°åʱDµÄËÙ¶È´óСÊǶàÉÙ£¿
¡¾´ð°¸¡¿·ÖÎö£º£¨1£©¹ÒÉÏÎïÌåDºó£¬·Ö±ð¶ÔA¡¢D½øÐÐÊÜÁ¦·ÖÎö£¬ÇÒA¡¢DµÄ¼ÓËÙ¶È´óСÏàµÈ£¬¸ù¾ÝÅ£¶ÙµÚ¶þ¶¨Âɼ´¿ÉÇóµÃAµÄ¼ÓËÙ¶È£»
£¨2£©ÏÈÇó³ö¿ªÊ¼Ê±µ¯»ÉµÄѹËõÁ¿£¬ÔÙÇó³ö¹ÒÉÏCºóB¸ÕÒªÀ뿪µ²°åʱµ¯»ÉµÄÉ쳤Á¿£¬B²»ÔÙÉÏÉý£¬±íʾ´ËʱAºÍCµÄËÙ¶ÈΪÁ㣬CÒѽµµ½×îµÍµã£®ÓÉ»úеÄÜÊØºã¶¨ÂÉÁÐʽ¼´¿ÉÇó½â£®
½â´ð£º½â£º£¨1£©¶ÔAʹÓÃÅ£¶ÙµÚ¶þ¶¨Âɵãº
T-m1gsin¦È-f=m1a
f=kx2=m2gsin¦È
¶ÔDʹÓÃÅ£¶ÙµÚ¶þ¶¨Âɵãº
£¨m3+m1£©g-T=£¨m3+m1£©a

£¨2£©¿ªÊ¼Ê±£¬A¡¢B¾²Ö¹£¬É赯»ÉѹËõÁ¿Îªx1£¬ÓÐ
kx1=m1gsin¦È
¹ÒC²¢Êͷźó£¬CÏòÏÂÔ˶¯£¬AÏòÉÏÔ˶¯£¬ÉèB¸ÕÒªÀ뿪µ²°åʱµ¯»ÉµÄÉ쳤Á¿Îªx2£¬Ôò
kx2=m2gsin¦È
B²»ÔÙÉÏÉý£¬±íʾ´ËʱAºÍCµÄËÙ¶ÈΪÁ㣬CÒѽµµ½×îµÍµã£®ÓÉ»úеÄÜÊØºã¶¨ÂÉ£¬Óë³õʼ״̬Ïà±È£¬
µ¯»ÉµÄµ¯ÐÔÊÆÄܵÄÔö¼ÓÁ¿£º¡÷Ep=m3g£¨x1+x2£©-m1g£¨x1+x2£©sin¦È
C»»³ÉDºó£¬µ±B¸ÕÒªÀ뿪µØÃæÊ±µ¯»Éµ¯ÐÔÊÆÄܵÄÔö¼ÓÁ¿Óëǰһ´ÎÏàͬ£¬ÓÉ»úеÄÜÊØºã¶¨ÂÉ£º
µÃ

´ð£º£¨1£©µ±B¸ÕÀ뿪µ²°åʱÎïÌåAµÄ¼ÓËÙ¶ÈΪ
£»
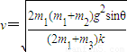
£¨2£©µ±B¸ÕÀ뿪µ²°åʱDµÄËÙ¶È´óСÊÇ
£®
µãÆÀ£º±¾ÌâÖ÷Òª¿¼²éÁËÅ£¶ÙµÚ¶þ¶¨Âɼ°»úеÄÜÊØºã¶¨ÂɵÃÖ±½ÓÓ¦Óã¬×¢ÒâÊÇϵͳ»úеÄÜÊØºã£¬ÄѶÈÊÊÖУ®
£¨2£©ÏÈÇó³ö¿ªÊ¼Ê±µ¯»ÉµÄѹËõÁ¿£¬ÔÙÇó³ö¹ÒÉÏCºóB¸ÕÒªÀ뿪µ²°åʱµ¯»ÉµÄÉ쳤Á¿£¬B²»ÔÙÉÏÉý£¬±íʾ´ËʱAºÍCµÄËÙ¶ÈΪÁ㣬CÒѽµµ½×îµÍµã£®ÓÉ»úеÄÜÊØºã¶¨ÂÉÁÐʽ¼´¿ÉÇó½â£®
½â´ð£º½â£º£¨1£©¶ÔAʹÓÃÅ£¶ÙµÚ¶þ¶¨Âɵãº
T-m1gsin¦È-f=m1a
f=kx2=m2gsin¦È
¶ÔDʹÓÃÅ£¶ÙµÚ¶þ¶¨Âɵãº
£¨m3+m1£©g-T=£¨m3+m1£©a
£¨2£©¿ªÊ¼Ê±£¬A¡¢B¾²Ö¹£¬É赯»ÉѹËõÁ¿Îªx1£¬ÓÐ
kx1=m1gsin¦È
¹ÒC²¢Êͷźó£¬CÏòÏÂÔ˶¯£¬AÏòÉÏÔ˶¯£¬ÉèB¸ÕÒªÀ뿪µ²°åʱµ¯»ÉµÄÉ쳤Á¿Îªx2£¬Ôò
kx2=m2gsin¦È
B²»ÔÙÉÏÉý£¬±íʾ´ËʱAºÍCµÄËÙ¶ÈΪÁ㣬CÒѽµµ½×îµÍµã£®ÓÉ»úеÄÜÊØºã¶¨ÂÉ£¬Óë³õʼ״̬Ïà±È£¬
µ¯»ÉµÄµ¯ÐÔÊÆÄܵÄÔö¼ÓÁ¿£º¡÷Ep=m3g£¨x1+x2£©-m1g£¨x1+x2£©sin¦È
C»»³ÉDºó£¬µ±B¸ÕÒªÀ뿪µØÃæÊ±µ¯»Éµ¯ÐÔÊÆÄܵÄÔö¼ÓÁ¿Óëǰһ´ÎÏàͬ£¬ÓÉ»úеÄÜÊØºã¶¨ÂÉ£º
µÃ
´ð£º£¨1£©µ±B¸ÕÀ뿪µ²°åʱÎïÌåAµÄ¼ÓËÙ¶ÈΪ
£¨2£©µ±B¸ÕÀ뿪µ²°åʱDµÄËÙ¶È´óСÊÇ
µãÆÀ£º±¾ÌâÖ÷Òª¿¼²éÁËÅ£¶ÙµÚ¶þ¶¨Âɼ°»úеÄÜÊØºã¶¨ÂɵÃÖ±½ÓÓ¦Óã¬×¢ÒâÊÇϵͳ»úеÄÜÊØºã£¬ÄѶÈÊÊÖУ®
Á·Ï°²áϵÁдð°¸
Ïà¹ØÌâÄ¿
A¡¢v¡ä1=v¡ä2=
| ||||||
B¡¢v¡ä1=v¡ä2=
| ||||||
C¡¢v¡ä1£¼
| ||||||
D¡¢v¡ä1£¼
|