题目内容
如图所示(俯视图),相距为2L的光滑平行金属导轨水平放置,导轨一部分处在以OO′为右边界的匀强磁场中,匀强磁场的磁感应强大小为B,方向垂直导轨平面向下,导轨右侧接有定值电阻R,导轨电阻忽略不计.在距边界OO′为L处垂直导轨放置一质量为m、电阻不计的金属杆ab.求解以下问题:(1)若金属杆ab固定在导轨上的初始位置.磁场的磁感应强度在时间t内由B均匀减小到零.求此过程中电阻R上产生的焦耳热Ql.
(2)若磁场的磁感应强度不变,金属杆ab在恒力作用下由静止开始向右运动3L距离,其V--X的关系图象如图乙所示.求:
①金属杆ab刚要离开磁场时的加速度大小;
②此过程中电阻R上产生的焦耳热Q2.
【答案】分析:根据法拉第电磁感应定律求出线框中感应电动势.
根据焦耳定律求出电阻R上产生的焦耳热Ql.
对金属杆ab进行受力分析和运动过程分析,应用动能定理研究从L到3L的过程,表示出恒力F.
对金属杆ab刚要离开磁场时进行受力分析,运用牛顿第二定律列出等式求出加速度.
运用动能定理研究由起始位置到发生位移L的过程,求出安培力做功.
根据功能关系知道克服安培力做功求出电路中产生的焦耳热.
解答:解:(1)磁场的磁感应强度在时间t内由B均匀减小到零,说明
根据法拉第电磁感应定律得出此过程中的感应电动势为:
E1=
=
①
通过R的电流为I1=
②
此过程中电阻R上产生的焦耳热为Q1=I12Rt ③
联立求得Q1=
(2)①ab杆离起始位置的位移从L到3L的过程中,由动能定理可得:
F(3L-L)=
m(v22-v12) ④
ab杆刚要离开磁场时,感应电动势 E2=2BLv1 ⑤
通过R的电流为I2=
⑥
ab杆水平方向上受安培力F安和恒力F作用,安培力为:
F安=2BI2L ⑦
联立⑤⑥⑦F安=
⑧
由牛顿第二定律可得:F-F安=ma ⑨
联立④⑧⑨解得a=
-
②ab杆在磁场中由起始位置到发生位移L的过程中,由动能定理可得:
FL+W安=
mv12-0
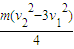
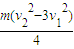
W安=
mv12-FL ⑩
根据功能关系知道克服安培力做功等于电路中产生的焦耳热,
所以联立④⑩解得 Q2=-W安=
答:(1)若金属杆ab固定在导轨上的初始位置.磁场的磁感应强度在时间t内由B均匀减小到零.此过程中电阻R上产生的焦耳热为
.
(2)①金属杆ab刚要离开磁场时的加速度大小是
-
;
②此过程中电阻R上产生的焦耳热为
.
点评:要能够把法拉第电磁感应定律与电路知识结合运用.
电磁感应中动力学问题离不开受力分析和运动过程分析.
关于电磁感应中能量问题我们要从功能关系角度出发研究.
根据焦耳定律求出电阻R上产生的焦耳热Ql.
对金属杆ab进行受力分析和运动过程分析,应用动能定理研究从L到3L的过程,表示出恒力F.
对金属杆ab刚要离开磁场时进行受力分析,运用牛顿第二定律列出等式求出加速度.
运用动能定理研究由起始位置到发生位移L的过程,求出安培力做功.
根据功能关系知道克服安培力做功求出电路中产生的焦耳热.
解答:解:(1)磁场的磁感应强度在时间t内由B均匀减小到零,说明
根据法拉第电磁感应定律得出此过程中的感应电动势为:
E1=
通过R的电流为I1=
此过程中电阻R上产生的焦耳热为Q1=I12Rt ③
联立求得Q1=
(2)①ab杆离起始位置的位移从L到3L的过程中,由动能定理可得:
F(3L-L)=
ab杆刚要离开磁场时,感应电动势 E2=2BLv1 ⑤
通过R的电流为I2=
ab杆水平方向上受安培力F安和恒力F作用,安培力为:
F安=2BI2L ⑦
联立⑤⑥⑦F安=
由牛顿第二定律可得:F-F安=ma ⑨
联立④⑧⑨解得a=
②ab杆在磁场中由起始位置到发生位移L的过程中,由动能定理可得:
FL+W安=
W安=
根据功能关系知道克服安培力做功等于电路中产生的焦耳热,
所以联立④⑩解得 Q2=-W安=
答:(1)若金属杆ab固定在导轨上的初始位置.磁场的磁感应强度在时间t内由B均匀减小到零.此过程中电阻R上产生的焦耳热为
(2)①金属杆ab刚要离开磁场时的加速度大小是
②此过程中电阻R上产生的焦耳热为
点评:要能够把法拉第电磁感应定律与电路知识结合运用.
电磁感应中动力学问题离不开受力分析和运动过程分析.
关于电磁感应中能量问题我们要从功能关系角度出发研究.
练习册系列答案
相关题目