题目内容
用双缝干涉测光的波长.实验装置如图甲所示,已知单缝与双缝间的距离L1=100mm,双缝与屏的距离L2=700mm,双缝间距d=0.25mm.用测量头来测量亮纹中心的距离.测量头由分划板、目镜、手轮等构成,转动手轮,使分划板左右移动,让分划板的中心刻线对准亮纹的中心(如图乙所示),记下此时手轮上的读数,转动测量头,使分划板中心刻线对准另一条亮纹的中心,记下此时手轮上的读数.(1)分划板的中心刻线分别对准第1条和第4条亮纹的中心时,手轮上的读数如图(丙)所示,则对准第1条时读数x1=______mm、对准第4条时读数x2=______mm;
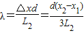
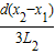
(2)写出计算波长λ的表达式,λ=______(用符号表示),λ=______nm;
【答案】分析:(1)螺旋测微器的读数等于固定刻度读数加上可动刻度读数,需估读.
(2)根据双缝干涉条纹的间距公式
,求出波长.1nm=10-9m.
解答:解:(1)测第一条时固定刻度读数为2mm,可动刻度读数为0.01×19.0=0.190mm,所以最终读数为2.190mm.
测第二条时固定刻度读数为7.5mm,可动刻度读数为0.01×36.8=0.368mm,所以最终读数为7.868mm.
(2)根据双缝干涉条纹的间距公式
,知
.代入数据得:λ=676nm.
故本题答案为:(1)2.190,7.868 (2)
,676.
点评:解决本题的关键掌握螺旋测微器的读数方法,螺旋测微器的读数等于固定刻度读数加上可动刻度读数,需估读.
根据双缝干涉条纹的间距公式
.
(2)根据双缝干涉条纹的间距公式
解答:解:(1)测第一条时固定刻度读数为2mm,可动刻度读数为0.01×19.0=0.190mm,所以最终读数为2.190mm.
测第二条时固定刻度读数为7.5mm,可动刻度读数为0.01×36.8=0.368mm,所以最终读数为7.868mm.
(2)根据双缝干涉条纹的间距公式
故本题答案为:(1)2.190,7.868 (2)
点评:解决本题的关键掌握螺旋测微器的读数方法,螺旋测微器的读数等于固定刻度读数加上可动刻度读数,需估读.
根据双缝干涉条纹的间距公式
练习册系列答案
相关题目