题目内容
如图所示为两组平行板金属板,一组竖直放置,一组水平放置,今有一质量为m的电量为e的电子静止在竖直放置的平行金属板的A点,经电压U加速后通过B点进入两板间距为d、电压为U的水平放置的平行金属板间,若电子从两块水平平行板的正中间射入,且最后电子刚好能从右侧的两块平行金属板穿出,A、B分别为两块竖直板的中点,求:(1)电子通过B点时的速度大小;
(2)右侧平行金属板的长度;
(3)电子穿出右侧平行金属板时的动能和速度方向.
【答案】分析:(1)电子在AB之间做加速运动,电场力的功等于电子动能的变化,根据动能定理即可解答;
(2)电子刚好能从右侧的两块平行金属板穿出,则电子的沿电场线方向的位移为
,根据平抛运动的方法,结合牛顿第二定律即可解答;
(3)电子穿出右侧平行金属板时的速度方向根据
计算,粒子的动能可以根据
计算.
解答:
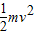
解:(1)电子通过B点时的速度大小为VB,则由动能定理得
,
VB=
;
(2)右侧平行金属板的长度为L,由题意得:
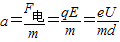
①,
L=VBt ②,
③,
联立①②③解得L=d
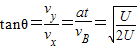
(3)电子穿出右侧平行金属板时与VB成θ角,如答图所示,则:
,
,
整理得:

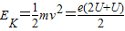
答:(1)电子通过B点时的速度大小为
;
(2)右侧平行金属板的长度为
;
(3)电子穿出右侧平行金属板时的动能为
,速度方向如图,与水平方向的夹角:
.
点评:该题中,电子先在加速电场中加速,然后在偏转电场中偏转,属于常规的典型题目.难度适中.
(2)电子刚好能从右侧的两块平行金属板穿出,则电子的沿电场线方向的位移为
(3)电子穿出右侧平行金属板时的速度方向根据
解答:
VB=
(2)右侧平行金属板的长度为L,由题意得:
L=VBt ②,
联立①②③解得L=d
(3)电子穿出右侧平行金属板时与VB成θ角,如答图所示,则:
整理得:
答:(1)电子通过B点时的速度大小为
(2)右侧平行金属板的长度为
(3)电子穿出右侧平行金属板时的动能为
点评:该题中,电子先在加速电场中加速,然后在偏转电场中偏转,属于常规的典型题目.难度适中.
练习册系列答案
相关题目