题目内容

天文工作者观测某行星的半径为R1,自转周期为T1,它有一颗卫星,轨道半径为R2,绕行星公转周期为T2.则(1)该行星的平均密度为多大?(2)要在此行星的赤道上发射一颗同步人造卫星,使其轨道在赤道上方,则该人造卫星的轨道半径为多大?

答案:
解析:

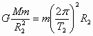
  解析:(1)设该行星的质量为M,卫星的质量为m,则对卫星有:

  又行星的体积为

  所以该行星的平均密度为

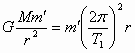
  (2)设该卫星的同步人造卫星的轨道半径为r,有

  所以半径


练习册系列答案
相关题目

违法和不良信息举报电话:027-86699610 举报邮箱:58377363@163.com

精英家教网