ÌâÄ¿ÄÚÈÝ

ÈçͼËùʾ£¬Ò»Æ½°å³µÒÔijһËÙ¶Èv0£½5 m/sÔÈËÙÐÐÊ»£¬Ä³Ê±¿ÌÒ»»õÏä(¿ÉÊÓΪÖʵã)ÎÞ³õËٶȵطÅÖÃÓÚÆ½°å³µÉÏ£¬»õÏäÀë³µºó¶ËµÄ¾àÀëΪl£½3m£¬»õÏä·Åµ½³µÉϵÄͬʱ£¬Æ½°å³µ¿ªÊ¼É²³µ£¬É²³µ¹ý³Ì¿ÉÊÓΪ×öa1£½3 m/s2µÄÔȼõËÙÖ±ÏßÔ˶¯£®ÒÑÖª»õÏäÓëÆ½°å³µÖ®¼äµÄĦ²ÁÒòÊýΪ¦Ì£½0.2£¬g£½10 m/s2£®Çó£º

(1)ͨ¹ý¼ÆË㣬ÅжϻõÏäÄÜ·ñ´Ó³µºó¶ËµôÏÂÀ´£»

(2)Èç¹û»õÏä²»ÄܵôÏ£¬Ôò×îÖÕֹͣʱÀë³µºó¶ËµÄ¾àÀëdÊǶàÉÙ£¿

(3)Èç¹û»õÏä²»ÄܵôÏ£¬×îºó¶¼Í£Ö¹Ô˶¯£¬Æ½°å³µÔÙ´Ó¾²Ö¹¿ªÊ¼ÒÔa2£½4 m/s2µÄ¼ÓËÙ¶ÈÔȼÓËÙÖ±ÏßÔ˶¯£¬¾­¹ý3Ã룬»õÏä¾àÀë³µºó¶Ë¶àÔ¶£¿ÒÑ֪ƽ°å³µºó¶ËÀëµØÃæ¸ß1.25 m£¬»õÏäÂ䵨ºó²»¶¯£®

´ð°¸£º
½âÎö£º

¡¡¡¡½â(1)»õÏä·Åµ½³µÉϺó£¬ÏÈ×öÔȼÓËÙÔ˶¯£¬Éè¾­¹ýʱ¼ätºÍ³µ´ïµ½ÏàͬËÙ¶È£¬´Ëʱ»õÏäºÍ³µµÄÎ»ÒÆ·Ö±ðΪ

¡¡¡¡¶Ô»õÏ䣺

¡¡¡¡£¬£¬

¡¡¡¡¶Ôƽ°å³µ£º

¡¡¡¡

¡¡¡¡´Ëʱ£¬»õÏäÏà¶Ô³µÏòºóÒÆ¶¯ÁËm£¼m£¬¹Ê»õÏä²»»á´Ó³µºó¶ËµôÏÂÀ´£®

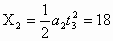
¡¡¡¡(2)ÓÉÓÚ»õÏäµÄ×î´ó¼ÓËÙ¶È£¬ËùÒÔ¶þÕß´ïµ½ÏàͬËٶȺ󣬷ֱðÒÔ²»Í¬µÄ¼ÓËÙ¶ÈÔȼõËÙÔ˶¯µ½Í£Ö¹£¬´ËʱÏàͬËÙ¶ÈΪ

¡¡¡¡¶Ô»õÏ䣺m£¬¶Ôƽ°å³µ£ºm

¡¡¡¡¹Ê»õÏäµ½³µÎ²µÄ¾àÀëm

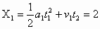
¡¡¡¡(3)Éè¾­¹ýʱ¼ä»õÏäºÍ³µ·ÖÀ룬ÓÉÎ»ÒÆ¹ØÏµµÃ£º£¬½âµÃ£®

¡¡¡¡·ÖÀëʱ»õÏäËÙ¶È£¬»õÏä×öƽÅ×Ô˶¯£¬¾­¹ýʱ¼äÂ䵨£¬£¬µÃ

¡¡¡¡ÔòÔÚÆ½°å³µÆô¶¯µÄÄÚ£¬»õÏäµÄË®Æ½Î»ÒÆm

¡¡¡¡Æ½°å³µµÄÎ»ÒÆÎª£ºm

¡¡¡¡¹Ê»õÏä¾àÀëÆ½°å³µºó¶Ë£ºm


Á·Ï°²áϵÁдð°¸
Ïà¹ØÌâÄ¿

Î¥·¨ºÍ²»Á¼ÐÅÏ¢¾Ù±¨µç»°£º027-86699610 ¾Ù±¨ÓÊÏ䣺58377363@163.com

¾«Ó¢¼Ò½ÌÍø