题目内容
如图所示,质量为m1=0.5kg的杯子里盛有m2=1kg的水,用绳子系住水杯在竖直平面内做“水流星”表演,转动半径为r=1m,水杯通过最高点的速度为v1=4m/s,g=10m/s2.求:(1)在最高点时,水对杯底的压力.
(2)水杯运动到最低点时的速度大小.
(3)要使杯子过最高点时水不溢出,水杯过最低点时的速度至少为多大?
【答案】分析:(1)最高点,水受重力和向下的压力,根据牛顿第二定律列式求解;
(2)对从最高点到最低点过程运用动能定理列式求解;
(3)先求解恰好到最高点的速度,然后对从最高点到最低点过程运用动能定理列式,最后联立求解即可.
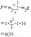
解答:解:(1)设在最高点杯对水的压力为F,由牛顿第二定律得:
;
解得:

由牛顿第三定律可知水对杯底向上的压力为6N;
(2)由动能定理得

解得:
;
(3)水在最高点不溢出的临界速度为:
;
由机械能守恒定律可得
;
解得:
;
答:(1)在最高点时,水对杯底的压力为6N.
(2)水杯运动到最低点时的速度大小为2
m/s.
(3)要使杯子过最高点时水不溢出,水杯过最低点时的速度至少为5
m/s.
点评:本题关键明确水杯的运动规律,然后选择过程运用动能定理列式,同时明确最高点重力和弹力的合力提供向心力.
(2)对从最高点到最低点过程运用动能定理列式求解;
(3)先求解恰好到最高点的速度,然后对从最高点到最低点过程运用动能定理列式,最后联立求解即可.
解答:解:(1)设在最高点杯对水的压力为F,由牛顿第二定律得:
解得:
由牛顿第三定律可知水对杯底向上的压力为6N;
(2)由动能定理得
解得:
(3)水在最高点不溢出的临界速度为:
由机械能守恒定律可得
解得:
答:(1)在最高点时,水对杯底的压力为6N.
(2)水杯运动到最低点时的速度大小为2
(3)要使杯子过最高点时水不溢出,水杯过最低点时的速度至少为5
点评:本题关键明确水杯的运动规律,然后选择过程运用动能定理列式,同时明确最高点重力和弹力的合力提供向心力.
练习册系列答案
相关题目
A、v′1=v′2=
| ||||||
B、v′1=v′2=
| ||||||
C、v′1<
| ||||||
D、v′1<
|