题目内容
一辆汽车在平直公路上匀速行驶,速度大小为v=5m/s,关闭油门后汽车的加速度为a=-0.4m/s2.求:(1)关闭油门后到汽车位移x=30m所经历的时间t1.
(2)汽车关闭油门后t2=20s内滑行的距离.
【答案】分析:(1)根据匀变速直线运动的位移时间公式
求出运动的时间.
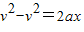
(2)先求出汽车关闭油门到停止的时间,因为汽车速度为零后不再运动,然后匀变速直线运动的速度位移公式
求出汽车关闭油门后滑行的距离.
解答:解:(1)由匀变速直线运动规律可得x=vt+
at2,
把x=30m、v=5m/s、
a=-0.4m/s2代入式中可求得t1=10s t2=15s(舍去)
故关闭油门后到汽车位移x=30m所经历的时间为10s.
(2)汽车停止时间
所以在20s内汽车通过的位移为:
故汽车关闭油门后t2=20s内滑行的距离为31.25m.
点评:解决本题的关键掌握匀变速直线运动的速度时间公式、位移时间公式以及速度位移公式.
(2)先求出汽车关闭油门到停止的时间,因为汽车速度为零后不再运动,然后匀变速直线运动的速度位移公式
解答:解:(1)由匀变速直线运动规律可得x=vt+
把x=30m、v=5m/s、
a=-0.4m/s2代入式中可求得t1=10s t2=15s(舍去)
故关闭油门后到汽车位移x=30m所经历的时间为10s.
(2)汽车停止时间
所以在20s内汽车通过的位移为:
故汽车关闭油门后t2=20s内滑行的距离为31.25m.
点评:解决本题的关键掌握匀变速直线运动的速度时间公式、位移时间公式以及速度位移公式.
练习册系列答案
相关题目