题目内容
一个做匀加速直线运动的物体,先后经过a、b两点时的速度分别是v和7v,a、b间的距离为S,经历a、b段的时间是t,则下列判断正确的是( )A.经过ab段位移中点的速度是4v
B.经过ab中间时刻的速度是4v
C.前
D.前
【答案】分析:本题考查了对运动学公式以及推论的理解以及应用情况,根据公式
和公式
以及其它位移公式即可正确解答.
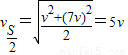
解答:解:A、经过ab段位移中点的速度为:
,故A错误;
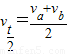
B、经过ab中间时刻的速度是:
,故B正确;
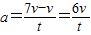
C、物体的加速度为
,所以前
时间通过的位移比后
时间通过的位移差为
,故C正确;
D、前
的平均速度为:
,后
的平均速度为:
,所以
,故D错误.
故选BC.
点评:对于运动学中的基本公式和推论要熟练掌握并能熟练应用,尤其是推论公式要会正确推导并明确其适用条件.
解答:解:A、经过ab段位移中点的速度为:
B、经过ab中间时刻的速度是:
C、物体的加速度为
D、前
故选BC.
点评:对于运动学中的基本公式和推论要熟练掌握并能熟练应用,尤其是推论公式要会正确推导并明确其适用条件.
练习册系列答案
相关题目