题目内容
某实验小组利用如图所示的装置进行“探究加速度与合外力的关系”的实验.(1)为了减小误差,在平衡摩擦力后,每次实验必须通过改变钩码的个数来改变小车所受合外力,获取多组数据.若小车质量为400g,实验中每次所用的钩码总质量范围应选 组会比较合理.(填选项前的字母)
A.10g~40g B.200g~400g C.1000g~2000g
(2)实验中打点计时器所使用的电源频率为50Hz,图1中给出的是实验中获取的纸带的一部分:1、2、3、4、5是计数点,每相邻两计数点间还有4个打点未标出,由该纸带可求得小车的加速度a= m/s2.
(3)改变钩码的个数重复实验,得到加速度α与合外力F的关系如图2所示,分析线段OA,可得出实验的结论是
【答案】分析:(1)本实验要求钩码的质量远小于小车的质量,据此可正确解答.
(2)根据逐差法可求出加速度的数值.
(3)根据实验目的可得出实验结论,在忽略误差的前提下,质量不变时,物体的加速度与所受合外力成正比.
解答:解:(1)本实验要求钩码的质量远小于小车的质量,因此要求实验中每次所用的钩码总质量范围要小,故BC错误,A正确.
故选A.
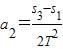
(2)由题意可知:
①
②
③
联立①②③可解得:a=1.07m/s2.
故答案为:1.07.
(3)随着所加砝码个数的增加,砝码的质量不在远小于小车质量,因此图线发生偏折,开始时,砝码质量远小于小车质量,满足实验条件,根据图象可知,在质量不变的条件下,物体的加速度与合外力成正比.
故答案为:在质量不变的条件下,物体的加速度与合外力成正比.
点评:对该实验要明确实验原理,尤其是正确理解该实验要满足的条件:小车质量远大于砝码质量.
(2)根据逐差法可求出加速度的数值.
(3)根据实验目的可得出实验结论,在忽略误差的前提下,质量不变时,物体的加速度与所受合外力成正比.
解答:解:(1)本实验要求钩码的质量远小于小车的质量,因此要求实验中每次所用的钩码总质量范围要小,故BC错误,A正确.
故选A.
(2)由题意可知:
联立①②③可解得:a=1.07m/s2.
故答案为:1.07.
(3)随着所加砝码个数的增加,砝码的质量不在远小于小车质量,因此图线发生偏折,开始时,砝码质量远小于小车质量,满足实验条件,根据图象可知,在质量不变的条件下,物体的加速度与合外力成正比.
故答案为:在质量不变的条件下,物体的加速度与合外力成正比.
点评:对该实验要明确实验原理,尤其是正确理解该实验要满足的条件:小车质量远大于砝码质量.
练习册系列答案
相关题目
| A、保持物体的质量m不变,加速度a跟作用在物体上的合力F成正比 | B、保持物体的质量m不变,加速度a跟作用在物体上的合力F成反比 | C、保持物体受到的合力F不变,加速度a跟物体的质量m成正比 | D、保持物体受到的合力F不变,加速度a跟物体的质量m成反比 |