题目内容
一个物体从某一确定的高度以v的初速度水平抛出,已知它落地时的速度为v1,那么它的运动时间是( )A.
B.
C.
D.
【答案】分析:物体做平抛运动,我们可以把平抛运动可以分解为水平方向上的匀速直线运动,和竖直方向上的自由落体运动来求解,两个方向上运动的时间相同.
解答:解:由于平抛运动是水平方向上的匀速直线运动与竖直方向上的自由落体运动的合运动,
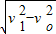
故任意时刻的速度是这两个分运动速度的合速度,当一个物体从某一确定的高度以v的初速度水平抛出,已知它落地时的速度为v1,
故v1是物体运动的末速度,由速度的分解法则可知,vy2=v12-vo2,∴vy=
,
∴物体的运动时间t=
=
.∴D选项正确..
故选D.
点评:本题就是对平抛运动规律的直接考查,掌握住平抛运动的规律就能轻松解决.
解答:解:由于平抛运动是水平方向上的匀速直线运动与竖直方向上的自由落体运动的合运动,
故任意时刻的速度是这两个分运动速度的合速度,当一个物体从某一确定的高度以v的初速度水平抛出,已知它落地时的速度为v1,
故v1是物体运动的末速度,由速度的分解法则可知,vy2=v12-vo2,∴vy=
∴物体的运动时间t=
故选D.
点评:本题就是对平抛运动规律的直接考查,掌握住平抛运动的规律就能轻松解决.
练习册系列答案
相关题目
一个物体从某一确定的高度以v0的初速度水平抛出,已知它落地时的速度为vt,重力加速度为g.则正确的说法是( )
A、它的运动时间是
| ||||
B、它的运动时间是
| ||||
C、它的竖直方向位移是
| ||||
D、它的位移是
|