题目内容

(13分)如图所示,一质量m=0.4kg的小物块,以v0=2m/s的初速度,在与斜面成某一夹角的拉力F作用下,沿斜面向上做匀加速运动,经t=2s的时间物块由A点运动到B点,A、B之间的距离L=10m。已知斜面倾角θ=30o,物块与斜面之间的动摩擦因数。(重力加速度g取10 m/s2     

(1)求物块加速度的大小及到达B点时速度的大小。

(2)拉力F与斜面的夹角多大时,拉力F最小?拉力F的最小值是多少?

 

【答案】

(1)3m/s2    8m/s    (2)300     

【解析】

试题分析:(1)设物块加速度的大小为a,到达B点时速度的大小为v,由运动学公式得:

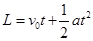
        (2分)

         (2分)

联立以上两式,代入数据解得:       (2分)

(2)设物块所受支持力为FN,所受摩擦力为Ff,拉力与斜面之间的夹角为α。受力分析如图所示,由牛顿第二定律得:

        (1分)

          (1分)

        (1分)

联立解得:          (1分)

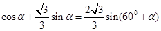
由数学知识得:          (1分)

由上式可知对应的F最小值的夹角α=300               (1分)

代入数据得F的最小值为:             (1分)

考点:本题考查了牛顿第二定律的应用。

 

练习册系列答案
相关题目

违法和不良信息举报电话:027-86699610 举报邮箱:58377363@163.com

精英家教网