题目内容

如图所示,在沿X轴上方存在垂直于纸面向里的匀强磁场,磁感应强度为B,在xoy平面内,从原点O处沿与x轴正方向成角(0<<)以速率发射一个带正电的粒子(重力不计).则下列说法正确的是(    )

A.若一定,越大,则粒子在磁场中运动的时间越短

B.若一定,越大,则粒子在磁场中运动的角速度越大

C.若一定,越大,则粒子在磁场中运动的时间越短

D.若一定,越大,则粒子在离开磁场的位置距O点越远

 

【答案】

D

【解析】

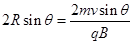
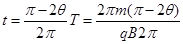
试题分析:带正电的粒子进入磁场后运动轨迹如下图。洛伦兹力提供向心力,整理得,周期大小和速度大小无关,根据几何关系粒子在磁场中运动的圆心角为,运动时间,若一定,则运动时间一定,选项A错。若一定,越大,运动时间越短选项C对。由于周期与速度无关所以角速度与速度也无关选项B错。粒子离开磁场的位置到O点的距离为,若一定,越大,则粒子在离开磁场的位置距O点越远选项D对。

考点:粒子在匀强磁场中的运动

 

练习册系列答案
相关题目

违法和不良信息举报电话:027-86699610 举报邮箱:58377363@163.com

精英家教网