题目内容

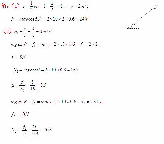
有一质量为2kg的小球串在长为1m的轻杆顶部,轻杆与水平方向成θ=37°角。

(1)若静止释放小球,1s后小球到达轻杆底端,则小球到达杆底时它所受重力的功率为多少?

(2)小球与轻杆之间的动摩擦因数为多少?

(3)若在竖直平面内给小球施加一个垂直于轻杆方向的恒力,静止释放小球后保持它的加速度大小1m/s2,且沿杆向下运动,则这样的恒力大小为多少?

g=l0m/s2,sin37°=0.6,cos37°=0.8)

 


F垂直杆向上,则有

                  

F垂直杆向下,则有

 。  

练习册系列答案
相关题目

违法和不良信息举报电话:027-86699610 举报邮箱:58377363@163.com

精英家教网