题目内容
一个圆柱形筒,如图所示,直径d=12cm,高H=16cm,人眼在筒侧上方某处观察,所见筒侧的深度为h=9cm,当简中装满液体时,则恰能看到筒侧的最低点.求:(1)此液体的折射率;
(2)光在此液体中的传播速度.
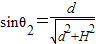
【答案】分析:(1)画出光路图,根据入射角和折射角,运用n=
求出液体的折射率.
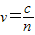
(2)根据v=
求出光在液体中的传播速度.
解答:
解:(1)由图可知:
折射率:
解得:
答:液体的折射率为
.
(2)传播速度:
=2.25×108m/s
答:光在此液体中的传播速度v=2.25×108m/s
点评:解决本题的关键掌握折射率的公式
和
.
(2)根据v=
解答:
答:液体的折射率为
(2)传播速度:
答:光在此液体中的传播速度v=2.25×108m/s
点评:解决本题的关键掌握折射率的公式
练习册系列答案
相关题目