题目内容

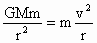
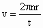
“伽利略”号木星探测器从1989年10月进入太空起,历时6年,行程37亿千米,终于到达木星周围.此后要在2年内绕木星运行11圈,对木星及其卫星进行考察,最后进入木星大气层烧毁.设这11圈都是绕木星在同一个圆周上运行,试求探测器绕木星运行的轨道半径和速率.(已知木星的质量为)

答案:略
解析:

  根据探测器在2年内绕木星运行11圈,可以知道探测器的运行周期,配合万有引力提供探测器的向心力,可以求半径和速率.

(式中n为圈数)

  本题是一道信息题,所提供的信息比较新,结合了现代科技的动态,题中前面一段给出的数据在解题时并无用处,这就要求学生能够结合具体问题进行判断和取舍,不能形成一种思维的定势:“凡是题中给出的数据都必须用到才能正确”,在考查学科、生活及科技综合能力的现阶段,这一点显得尤为重要.


练习册系列答案
相关题目

违法和不良信息举报电话:027-86699610 举报邮箱:58377363@163.com

精英家教网