题目内容

一列车沿平直铁轨行驶,车厢所受阻力大小恒力.从车站开出时车头对车厢的牵引力恒为F=N,当行驶一段距离后,车厢与车头脱钩,求脱钩后车厢继续向前滑行的距离

答案:100m
解析:

解法一:选车厢为研究对象,把它的运动过程分成两段.

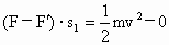
对脱钩前做匀加速运动的过程,牵引力做正功,阻力做负功,重力和支持力都不做功,始态速度为0,终态速度为v,根据动能定理有:

  ①

对于脱钩后做匀减速运动的过程,阻力做负功,重力和支持力不做功;终态速度为0,始态速度为v,根据动能定理有:

   ②

由①②得:=100m

解法二:取全过程研究,据动能定理得:

解得=100m

①对于物理过程较为复杂的题,要注意在审题时先画一明确的草图,弄清物理过程之间的联系.

②多个研究对象存在时,列方程要指明对象、指明过程.当物体的运动有几个过程时,应注意是对分过程还是对全过程用动能定理列式.


练习册系列答案
相关题目

违法和不良信息举报电话:027-86699610 举报邮箱:58377363@163.com

精英家教网