题目内容
一列车沿平直铁轨行驶,车厢所受阻力大小恒为
.从车站开出时车头对车厢的牵引力恒为
,当行驶一段距离
后,车厢与车头脱钩,求脱钩后车厢继续向前滑行的距离
.
答案:100m
解析:
解析:
|
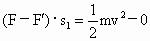
解法一:选车厢为研究对象,把它的运动过程分成两段. 对脱钩前做匀加速运动的过程,牵引力做正功,阻力做负功,重力和支持力都不做功,初态速度为 0,终态速度为v,根据动能定理有:
对于脱钩后做匀减速运动的过程,阻力做负功,重力和支持力不做功,终态速度为 0,始态速度为v,根据动能定理有:
由①②得: 解法二:取全过程研究,据动能定理得: 解得: ①对于物理过程较为复杂的题,要注意在审题时先画一明确的草图,弄清物理过程之间的联系. ②多个研究对象存在时,列方程要指明对象,指明过程.当物体的运动有几个过程时,应注意是对分过程还是对全过程用动能定理列式. |
练习册系列答案
相关题目