ÌâÄ¿ÄÚÈÝ
ÔÚÒ»´Î¾ÈÔֻÖУ¬Ò»Á¾¾ÈÔÖÆû³µÓɾ²Ö¹¿ªÊ¼×öÔȱäËÙÖ±ÏßÔ˶¯£¬¸ÕÔ˶¯ÁË8 s£¬ÓÉÓÚǰ·½Í»È»ÓоÞʯ¹öÏ£¬¶ÂÔÚ·ÖÐÑ룬ËùÒÔÓÖ½ô¼±É²³µ£¬ÔȼõËÙÔ˶¯¾4 sÍ£ÔÚ¾Þʯǰ¡£Ôò¹ØÓÚÆû³µµÄÔ˶¯Çé¿ö£¬ÏÂÁÐ˵·¨ÕýÈ·µÄÊÇ( )
A£®¼ÓËÙ¡¢¼õËÙÖеļÓËÙ¶È´óС֮±ÈΪa1¡Ãa2µÈÓÚ2¡Ã1
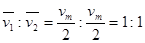
B£®¼ÓËÙ¡¢¼õËÙÖÐµÄÆ½¾ùËÙ¶È´óС֮±È
µÈÓÚ1¡Ã1
C£®¼ÓËÙ¡¢¼õËÙÖеÄÎ»ÒÆÖ®±Èx1¡Ãx2µÈÓÚ2¡Ã1
D£®¼ÓËÙ¡¢¼õËÙÖеļÓËÙ¶È´óС֮±Èa1¡Ãa2²»µÈÓÚ1¡Ã2
BC
¡¾½âÎö¡¿
ÊÔÌâ·ÖÎö£ºÓÉÌâÒâÖª£¬Æû³µÏÈ×öÔȼÓËÙÖ±ÏßÔ˶¯´ïµ½×î´óËÙ¶È
ºóÓÖ×öÔȼõËÙÖ±ÏßÔ˶¯£¬¹ÊÁ½´ÎµÄƽ¾ùËÙ¶ÈÖ®±È
£¬ËùÒÔBÕýÈ·£»¸ù¾Ý
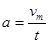
¿ÉÖª£¬Á½´Î¼ÓËÙ¶È´óС֮±ÈΪ1:2£¬¹ÊA´íÎó¡¢D´íÎ󣻸ù¾Ý
¿ÉÖª£¬Á½´ÎÎ»ÒÆÖ®±ÈΪ2:1£¬ËùÒÔCÕýÈ·¡£
¿¼µã£ºÔȱäËÙÖ±ÏßÔ˶¯
| A¡¢¼ÓËÙ¡¢¼õËÙÖеļÓËÙ¶È´óС֮±ÈΪa1£ºa2µÈÓÚ2£º1 | ||||
B¡¢¼ÓËÙ¡¢¼õËÙÖÐµÄÆ½¾ùËÙ¶È´óС֮±È
| ||||
| C¡¢¼ÓËÙ¡¢¼õËÙÖеÄÎ»ÒÆÖ®±Èx1£ºx2µÈÓÚ2£º1 | ||||
| D¡¢¼ÓËÙ¡¢¼õËÙÖеļÓËÙ¶È´óС֮±Èa1£ºa2µÈÓÚ1£º2 |
ÔÚÒ»´Î¾ÈÔֻÖУ¬Ò»Á¾¾ÈÔÖÆû³µÓɾ²Ö¹¿ªÊ¼×öÔȱäËÙÖ±ÏßÔ˶¯£¬¸ÕÔ˶¯ÁË8 s£¬ÓÉÓÚǰ·½Í»È»ÓоÞʯ¹öÏ£¬¶ÂÔÚ·ÖÐÑ룬ËùÒÔÓÖ½ô¼±É²³µ£¬ÔȼõËÙÔ˶¯¾4 sÍ£ÔÚ¾Þʯǰ£®Ôò¹ØÓÚÆû³µµÄÔ˶¯Çé¿ö£¬ÏÂÁÐ˵·¨ÕýÈ·µÄÊÇ (¡¡¡¡ )
| A£®¼ÓËÙ¡¢¼õËÙ¹ý³ÌÖеļÓËÙ¶È´óС֮±ÈΪ |
| B£®¼ÓËÙ¡¢¼õËÙ¹ý³ÌÖÐµÄÆ½¾ùËÙ¶È´óС֮±È |
| C£®¼ÓËÙ¡¢¼õËÙ¹ý³ÌÖеÄÎ»ÒÆÖ®±È |
| D£®¼ÓËÙ¡¢¼õËÙ¹ý³ÌÖеļÓËÙ¶È´óС֮±È |