题目内容

横截面积为3分米2圆筒内装有0.6千克的水,太阳光垂直照射了2分钟,水温度升高了1℃,设大气顶层的太阳能只有45%到达地面,已知水的比热c=4.2×l03 J/kg℃,太阳与地球之间的平均距离为1.5×l011 m.试估算出太阳的全部辐射功率为多少?(结果保留一位有效数字)

答案:
解析:

  水吸收的热量Q=mct=2.52103 J

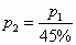
  地球上每平方米接受的太阳辐射功率为

  每平方米实际的太阳辐射功率为=2 kW

  太阳辐射的总功率为=41026 W


练习册系列答案
相关题目

违法和不良信息举报电话:027-86699610 举报邮箱:58377363@163.com

精英家教网