题目内容
如图所示,质量m=50kg的跳水运动员从距水面高h=10m的跳台上以v=5m/s的速度斜向上起跳,最终落入水中.若忽略运动员的身高.取g=10m/s2,求:(1)运动员在跳台上时具有的重力势能(以水面为参考平面);
(2)运动员起跳时的动能;
(3)运动员入水时的速度大小.
【答案】分析:(1)由重力势能的定义式可以求得;
(2)由动能的公式可以求得运动员起跳时的动能;
(3)根据机械能守恒可以求得运动员入水时的速度大小.
解答:解:
(1)取水面为参考平面,
人的重力势能是 Ep=mgh=5000J;
(2)由动能的公式得 Ek=
=625J;
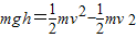
(3)在整个过程中,只有重力做功,机械能守恒,
由
,
解得v=15m/s,
答:
(1)运动员在跳台上时具有的重力势能是5000J;
(2)运动员起跳时的动能是625J;
(3)运动员入水时的速度大小是15m/s.
点评:直接考查动能,重力势能和机械能守恒的应用,比较简单.
(2)由动能的公式可以求得运动员起跳时的动能;
(3)根据机械能守恒可以求得运动员入水时的速度大小.
解答:解:
(1)取水面为参考平面,
人的重力势能是 Ep=mgh=5000J;
(2)由动能的公式得 Ek=
(3)在整个过程中,只有重力做功,机械能守恒,
由
解得v=15m/s,
答:
(1)运动员在跳台上时具有的重力势能是5000J;
(2)运动员起跳时的动能是625J;
(3)运动员入水时的速度大小是15m/s.
点评:直接考查动能,重力势能和机械能守恒的应用,比较简单.
练习册系列答案
相关题目