题目内容
某同学利用如图(1)所示电路测定电源的电动势和内阻.实验中电表内阻对实验结果的影响很小,均可以忽略不计.闭合电键S后,变阻器的滑片P由变阻器的一端滑到另一端的过程中,两电压表示数随电流表示数变化情况分别如图(2)的U-I图象中直线a、b所示.(1)若滑片P由变阻器的一端滑到另一端的过程中,电压表V2的示数一直增大,可知滑动端P由______端;(用电路图中的字母表示)
(2)用画线代表导线,将上面实物图中各元件按图(1)连接成实验电路;
(3)通过分析可知,其中图(2)中图线______(填a或b)表示电压表V1示数随电流表A示数变化关系;
(4)根据U-I图象中坐标轴所标出的数据,可以求出电源电动势E=______,内阻r=______(用图中给出的坐标值表示).
【答案】分析:(1)电压表V2的示数一直增大,故电流不断增加,故滑动端P由d到c端;
(2)根据电路图连接实物图即可;
(3)电压表V1示数随电流表A示数的增加而减小;
(4)根据闭合电路欧姆定律列式求解.
解答:解:(1)电压表V2的示数一直增大,故电流不断增加,故滑动端P由d到c端;
(2)根据电路图连接实物图,如图所示:

(3)电压表V1示数随电流表A示数的增加而减小,故是图线a;
(4)由E=U+Ir知:
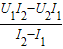
E=U1+I1r;
E=U2+I2r;
联立解得:E=
;
;
故答案为:(1)d到c;(2)如图连接;(3)a;(4)
;
.
点评:本题关键是明确实验原理和误差来源,最后根据闭合电路欧姆定律列式求解电源的电动势和内电阻.
(2)根据电路图连接实物图即可;
(3)电压表V1示数随电流表A示数的增加而减小;
(4)根据闭合电路欧姆定律列式求解.
解答:解:(1)电压表V2的示数一直增大,故电流不断增加,故滑动端P由d到c端;
(2)根据电路图连接实物图,如图所示:
(3)电压表V1示数随电流表A示数的增加而减小,故是图线a;
(4)由E=U+Ir知:
E=U1+I1r;
E=U2+I2r;
联立解得:E=
故答案为:(1)d到c;(2)如图连接;(3)a;(4)
点评:本题关键是明确实验原理和误差来源,最后根据闭合电路欧姆定律列式求解电源的电动势和内电阻.
练习册系列答案
相关题目