题目内容

一台交流发电机的输出电压为250V,输出功率为100kW,向远处输电所用输出线的总电阻为  ,要使输电线上的功率损失不超过输送功率的5%,用户正好得到220V的电压.求:

(1)输电线上的电流

(2)供电处的升压变压器的原副线圈的匝数比

(3)用户处的降压变压器的原副线圈的匝数比

 

【答案】

(1)25 A (2) (3)

【解析】

试题分析:升压变压器原线圈两端电压  V,通过的电流:

A

输电线的功率损失:

W.

(1)输电线上电流(通过升压变压器副线圈,降压变压器原线圈的电流):

A.

降压变压器次级电流(用户电流):

A

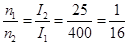
(2)升压变压器原副线圈的匝数比:

(3)降压变压器原副线圈匝数比:

考点:本题考查远距离输电、理想变压器等。

 

练习册系列答案
相关题目

违法和不良信息举报电话:027-86699610 举报邮箱:58377363@163.com

精英家教网