题目内容

一列横波在某时刻的波形图如图中实线所示, 经2×10-2s后的波形如图中虚线所示, 则该波的波速v和频率f可能是

[  ]

A. v为5m/s  B. v为45m/s  C. f为50Hz  D. f为37.5Hz

答案:ABD
解析:

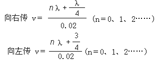
解: 由波形图知λ=0.4m

有可能 15、35、55……(m/s)

f=v=15m/s  f=37.5Hz

若f=50Hz  则v=20m/s 无此速度, 不可能所以 A、B、D正确


提示:

波可能向左传, 也可能向右传; 在某一个方向上可能传播慢(波速小),也可能传播快(波速大)可能的情况都要考虑.

练习册系列答案
相关题目

违法和不良信息举报电话:027-86699610 举报邮箱:58377363@163.com

精英家教网