ÌâÄ¿ÄÚÈÝ
ijʵÑéС×éÀûÓÃÈçͼËùʾµÄʵÑé×°ÖÃÀ´Ì½¾¿µ±ºÏÍâÁ¦Ò»¶¨Ê±£¬ÎïÌåÔ˶¯µÄ¼ÓËÙ¶ÈÓëÆäÖÊÁ¿Ö®¼äµÄ¹ØÏµ£®£¨1£©ÓÉͼÖп̶ȳ߶Á³öÁ½¸ö¹âµçÃÅÖÐÐÄÖ®¼äµÄ¾àÀëx=24cm£¬ÓÉͼ1ÖÐÓα꿨³ß²âµÃÕÚ¹âÌõµÄ¿í¶Èd=______ cm£®¸ÃʵÑéС×éÔÚ×öʵÑéʱ£¬½«»¬¿é´ÓÉÏͼËùʾλÖÃÓɾ²Ö¹ÊÍ·Å£¬ÓÉÊý×Ö¼ÆÊ±Æ÷¿ÉÒÔ¶Á³öÕÚ¹âÌõͨ¹ý¹âµçÃÅ1µÄʱ¼ä¡÷t1£¬ÕÚ¹âÌõͨ¹ý¹âµçÃÅ2µÄʱ¼ä¡÷t2£¬Ôò»¬¿é¾¹ý¹âµçÃÅ1ʱµÄ˲ʱËٶȵıí´ïʽv1=______£¬»¬¿é¾¹ý¹âµçÃÅ2ʱµÄ˲ʱËٶȵıí´ïʽv2=______£¬Ôò»¬¿éµÄ¼ÓËٶȵıí´ïʽa=______£®£¨ÒÔÉϱí´ïʽ¾ùÓÃ×Öĸ±íʾ£©
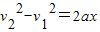
£¨2£©ÔÚ±¾´ÎʵÑéÖУ¬ÊµÑéС×éͨ¹ý¸Ä±ä»¬¿éÖÊÁ¿×ܹ²×öÁË6×éʵÑ飬µÃµ½ÈçϱíËùʾµÄʵÑéÊý¾Ý£®ÇëÀûÓñí¸ñÊý¾Ý£¬ÔÚͼ2×ø±êϵÖÐÃèµã×÷³öÏàӦͼÏó£®ÄãµÃ³öµÄ½áÂÛÊÇ______£®
| m£¨g£© | a£¨m/s2£© |
| 250 | 2.02 |
| 300 | 1.65 |
| 350 | 1.33 |
| 400 | 1.25 |
| 500 | 1.00 |
| 800 | 0.63 |
¡¾´ð°¸¡¿·ÖÎö£º£¨1£©Óα꿨³ßµÄ¶ÁÊýµÈÓÚÖ÷³ß¶ÁÊý¼ÓÉÏÓαê¶ÁÊý£¬²»Ðè¹À¶Á£®ÓÉÓÚÕÚ¹âÌõͨ¹ý¹âµçÃŵÄʱ¼ä¼«¶Ì£¬¿ÉÒÔÓÃÆ½¾ùËٶȱíʾ˲ʱËÙ¶È£®¸ù¾ÝÔȱäËÙÖ±ÏßÔ˶¯µÄËÙ¶ÈÎ»ÒÆ¹«Ê½Çó³ö»¬¿éµÄ¼ÓËÙ¶È£®
£¨2£©×÷aÓë
ͼÏߣ¬ÈôÊÇÒ»ÌõÖ±Ïߣ¬ËµÃ÷aÓëm³É·´±È£®
½â´ð£º½â£º£¨1£©Óα꿨³ßµÄÖ÷³ß¶ÁÊýΪ5mm£¬Óαê¶ÁÊýΪ0.1×2mm=0.2mm£¬ËùÒÔ×îÖÕ¶ÁÊýΪ5.2mm=0.52cm£®
»¬¿é¾¹ý¹âµçÃÅ1ʱµÄ˲ʱËٶȵıí´ïʽv1=
£¬»¬¿é¾¹ý¹âµçÃÅ2ʱµÄ˲ʱËٶȵıí´ïʽv2=
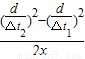
£®¸ù¾Ý
µÃ£¬a=
£®
£¨2£©×÷a
ͼÏߣ¬Èçͼ£¬Í¼ÏßÊǹýÔµãµÄÒ»ÌõÖ±Ïߣ¬Öª£¬ÔÚºÏÁ¦Ò»¶¨Ê±£¬aÓëm³É·´±È£®

¹Ê´ð°¸Îª£º£¨1£©0.52£¬
£¬
£¬
£®£¨2£©Èçͼ£®ÔÚºÏÁ¦Ò»¶¨Ê±£¬aÓëm³É·´±È£®
µãÆÀ£º½â¾ö±¾ÌâµÄ¹Ø¼üÖªµÀÓα꿨³ßµÄ¶ÁÊý·½·¨£¬ÒÔ¼°ÖªµÀÔÚ¼«¶Ìʱ¼äÄ򵀮½¾ùËÙ¶È¿ÉÒÔ±íʾ˲ʱËÙ¶È£®
£¨2£©×÷aÓë
½â´ð£º½â£º£¨1£©Óα꿨³ßµÄÖ÷³ß¶ÁÊýΪ5mm£¬Óαê¶ÁÊýΪ0.1×2mm=0.2mm£¬ËùÒÔ×îÖÕ¶ÁÊýΪ5.2mm=0.52cm£®
»¬¿é¾¹ý¹âµçÃÅ1ʱµÄ˲ʱËٶȵıí´ïʽv1=
£¨2£©×÷a
¹Ê´ð°¸Îª£º£¨1£©0.52£¬
µãÆÀ£º½â¾ö±¾ÌâµÄ¹Ø¼üÖªµÀÓα꿨³ßµÄ¶ÁÊý·½·¨£¬ÒÔ¼°ÖªµÀÔÚ¼«¶Ìʱ¼äÄ򵀮½¾ùËÙ¶È¿ÉÒÔ±íʾ˲ʱËÙ¶È£®
Á·Ï°²áϵÁдð°¸
Ïà¹ØÌâÄ¿
| A¡¢±£³ÖÎïÌåµÄÖÊÁ¿m²»±ä£¬¼ÓËÙ¶Èa¸ú×÷ÓÃÔÚÎïÌåÉϵĺÏÁ¦F³ÉÕý±È | B¡¢±£³ÖÎïÌåµÄÖÊÁ¿m²»±ä£¬¼ÓËÙ¶Èa¸ú×÷ÓÃÔÚÎïÌåÉϵĺÏÁ¦F³É·´±È | C¡¢±£³ÖÎïÌåÊܵ½µÄºÏÁ¦F²»±ä£¬¼ÓËÙ¶Èa¸úÎïÌåµÄÖÊÁ¿m³ÉÕý±È | D¡¢±£³ÖÎïÌåÊܵ½µÄºÏÁ¦F²»±ä£¬¼ÓËÙ¶Èa¸úÎïÌåµÄÖÊÁ¿m³É·´±È |