题目内容

如图所示,两木块的质量分别为m1和m2,两轻质弹簧的劲度系数分别为k1和k2,上面木块压在上面的弹簧上(但不拴接),整个系统处于平衡状态.现缓慢向上提上面的木块,直到它刚离开上面弹簧。在这过程中下面木块移动的距离为(      )

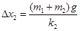
A.              B.

C.              D.

 

【答案】

C

【解析】

试题分析:据题意,在提上面的木块前,下面的弹簧的压缩量为:将两个木块看成一个整体受力分析,据平衡条件有,则;当上面的木块被缓慢提到即将离开时,下面的木块仍然处于平衡状态,据平衡条件可以求出下面弹簧的压缩量为:,则下面木块上移距离为:,故C选项正确。

考点:本题考查物体平衡条件和胡克定律。

 

练习册系列答案
相关题目

违法和不良信息举报电话:027-86699610 举报邮箱:58377363@163.com

精英家教网