题目内容

能否发射一颗周期是80分钟的人造地球卫星?

答案:
解析:

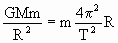
  【解答】假定卫星的周期为80分钟,则它的轨道半径R应满足式子,注意到GM=g,所以

  R=

   =

   ≈6.17×106m

  显然R小于地球的半径R=6.4×106m,因此不可能发射周期为80分钟的卫星.

  【评析】解决天体问题和人造卫星问题时,都体现了运动产生的原因,即万有引力提供向心力.

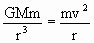
  =mω2r=mr.


提示:

【分析】由万有引力提供向心力,可得,GM=gR2.R为地球半径,可以计算T=80min时的半径r,若r>R则可以发射T=80min的卫星,若r<R则不可以.利用地球半径对应的周期判断也可.


练习册系列答案
相关题目

违法和不良信息举报电话:027-86699610 举报邮箱:58377363@163.com

精英家教网