题目内容
有两个完全相同的电热器,分别通以如图甲和乙所示的峰值相等的方波交变电流和正弦交变电流.求这两个电热器的电功率之比.
![]()
【答案】
2∶1
【解析】
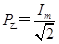
试题分析:交变电流通过纯电阻用电器R时,其电功率
,I应该是交变电流的有效值.
对于甲图所示的方波交变电流,因大小恒定,故有效值![]()
对于乙图所示的正弦交变电流,有效值I乙=
Im
则
, (
)2R=![]()
![]()
所以P甲∶P乙=2∶1.
考点:考查了交流电有效值的计算
点评:对于交变电流求解热量、热功率、电功等都应用有效值,求解电量用平均值.
练习册系列答案
相关题目
| A、所用拉力大小之比为2:1 | B、通过导线某一横截面的电荷量之比是1:2 | C、拉力做功之比是1:4 | D、线框中产生的电热之比为1:2 |