题目内容
如图,质量为m的小球用细绳悬于O点且在竖直平面内做圆周运动,到达最高点时速度为v,则此时绳子的张力为 .(绳长为l)
【答案】分析:小球在最高点,竖直方向上的合力提供圆周运动的向心力,根据牛顿第二定律求出绳子的张力.
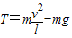
解答:解:根据牛顿第二定律得,mg+T=
,则
.
故答案为:
.
点评:解决本题的关键知道圆周运动靠沿半径方向上的合力提供向心力,向心力的方向指向圆心.
解答:解:根据牛顿第二定律得,mg+T=
故答案为:
点评:解决本题的关键知道圆周运动靠沿半径方向上的合力提供向心力,向心力的方向指向圆心.
练习册系列答案
相关题目