题目内容

如图,为测量作匀加速直线运动小车的加速度,将宽度均为b的挡光片A、B固定在小车上,测得二者间距为d。

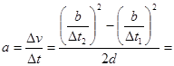
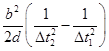
(1)当小车匀加速经过光电门时,测得两挡光片先后经过的时间,则小车加速度              
(2)(多选题)为减小实验误差,可采取的方法是         
(A)增大两挡光片宽度         (B)减小两挡光片宽度
(C)增大两挡光片间距         (D)减小两挡光片间距

,  B C

解析试题分析:(1)经过前后两个时刻的瞬时速度分别为,加速度
(2)b越小,所测的速度越接近瞬时速度;d越大,初速度与末速度差距越大,速度平方差越大,相对误差越小.故选BC
考点:本题考查“测量作匀加速直线运动小车的加速度”实验原理和误差分析,
点评:想求出加速度的大小,可根据小车A点和B点的速度利用匀变速度直线运动的规律公式求出.根据极限逼近思想用平均速度代替瞬时速度,则b要小;另外A、B点越远,相对误差越小.

练习册系列答案
相关题目

违法和不良信息举报电话:027-86699610 举报邮箱:58377363@163.com

精英家教网