题目内容

如图所示,小球从竖直砖墙某位置静止释放,用频闪照相机在同一底片上多次曝光,得到了图中1、2、3、4、5…所示小球运动过程中每次曝光的位置。连续两次曝光的时间间隔均为T,每块砖的厚度为d。根据图中的信息,下列判断正确的是

A.能判定位置“1”是小球释放的初始位置

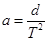
B.能求出小球下落的加速度为

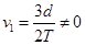
C.能求出小球在位置“3”的速度为

D.如果已知d和T的数值,就能判定小球下落过程中机械能是否守恒

 

【答案】

BCD

【解析】

试题分析:图中1、2、3、4、5记录下了不同时刻物体的位置也记录了连续相等时间间隔内物体的位移分别为根据匀变速直线运动连续相等时间间隔内位移之差等于可得答案B对。匀变速直线运动中间时刻的瞬时速度等于平均速度,可得位置“3”的瞬时速度等于2到4的平均速度即答案C对。根据可得,所以位置“1”不是小球释放的初始位置答案A错。如果已知d和T的数值就可以计算出加速度,若则机械能守恒否则不守恒,答案D对。

考点:匀变速直线运动

 

练习册系列答案
相关题目

违法和不良信息举报电话:027-86699610 举报邮箱:58377363@163.com

精英家教网