ÌâÄ¿ÄÚÈÝ

¹â»¬¾øÔµË®Æ½µØÃæÉÏ£¬ÈçͼËùʾ£¬Ïà¸ô2L´¦µÄA¡¢BÁ½µã¹Ì¶¨ÓÐÁ½¸öµçºÉÁ¿¾ùΪQµÄÕýµãµçºÉ£¬a¡¢O¡¢bÊÇABÁ¬ÏßÉϵÄÈýµã£¬ÇÒOΪÖÐÐÄ£¬Oa=Ob=L/2£®Ò»ÖÊÁ¿Îªm£¬µçºÉÁ¿ÎªqµÄµãµçºÉÒÔ³õËÙ¶È£¬´Óaµã³ö·¢ÑØABÁ¬ÏßÏòBÔ˶¯£¬ÔÚÔ˶¯¹ý³ÌÖеçºÉÊܵ½´óСºã¶¨µÄ×èÁ¦×÷Ó㮵«ËÙ¶ÈΪÁãʱ£¬×èÁ¦ÎªÁ㣬µ±ËüÔ˶¯µ½Oµã£¬¶¯ÄÜΪ³õ¶¯ÄܵÄn±¶£®µ½bµã¸ÕºÃËÙ¶ÈΪÁ㣬Ȼºó·µ»ØÍù¸´Ô˶¯Ö±ÖÁ×îºó¾²Ö¹£¬ÒÑÖª¾²µçÁ¦ºãÁ¿Îªk£¬ÉèO´¦µçÊÆÎªÁ㣬ÊÔ¼ÆË㣺

(1)aµãµÄ³¡Ç¿ºÍµçÊÆ£»

(2)µãµçºÉÔڵ糡ÖÐÔ˶¯µÄ×Ü·³Ì£®

´ð°¸£ºÂÔ
½âÎö£º

´ð°¸£º(1)³¡Ç¿Îª£¬·½ÏòÏòÓÒ£¬µçÊÆÎª£»(2)

Ìáʾ£ºÓÉÌâÒâµçºÉ×îºóӦͣÔÚOµã£¬È«¹ý³ÌÓö¯Äܶ¨Àí£º

¡¡£®

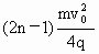
´Óaµ½OÓö¯Äܶ¨Àí£º£®

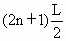
´Óaµ½bÓö¯Äܶ¨Àí£º£®

¿ÉµÃ£º£¬

£¬

£¬

£®


Á·Ï°²áϵÁдð°¸
Ïà¹ØÌâÄ¿

Î¥·¨ºÍ²»Á¼ÐÅÏ¢¾Ù±¨µç»°£º027-86699610 ¾Ù±¨ÓÊÏ䣺58377363@163.com

¾«Ó¢¼Ò½ÌÍø