题目内容

一辆质量为的汽车在水平地面上匀速行驶.某个时刻关闭发动机,经过20s滑行40m而停止下来,求汽车所受阻力为多大?

答案:800N
解析:

根据题意可判断汽车在关闭发动机后在阻力作用下做匀减速运动,结合运动学公式求出汽车运动的加速度,再根据牛顿第二定律求出阻力F

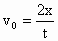
选汽车为研究对象,则根据速度公式和位移公式可得:

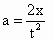
据位移公式,得

由以上两式解得

这时,只要正确确定已知量单位(要统一),可以不把各量单位代入:

根据牛顿第二定律知汽车所受阻力:

在物理计算中,为了使计算过程简洁、清晰,所有的已知量都用国际单位制的单位来表示,那么只要正确地应用物理公式,计算结果必定足用国际单位制的单位来表示的.


练习册系列答案
相关题目

违法和不良信息举报电话:027-86699610 举报邮箱:58377363@163.com

精英家教网