题目内容

如图,质量为M的长木板静止在光滑水平地面上,在木板右端有质量为m的小物块,现给物块一个水平向左的初速度v0,物块向左滑行并与固定在木板左端的轻弹簧相碰,碰后返回并恰好停在长木板右端,求:

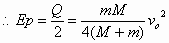
(1)弹簧弹性势能的最大值

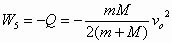
(2)物块在木板上滑行过程中摩擦力做的总功.

答案:
解析:

  由动量守恒定律,得

  

  

  放出的总热:

  

  

  


练习册系列答案
相关题目

违法和不良信息举报电话:027-86699610 举报邮箱:58377363@163.com

精英家教网