题目内容
A.运行线速度关系为vA<vB<vC
B.运行周期关系为TA=TB<TC
C.向心力大小关系为FA>FB>FC
D.半径与周期关系为
【答案】分析:根据万有引力提供向心力得出轨道半径与线速度、周期、向心加速度的关系,从而比较大小.
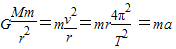
解答:解:A、根据
得,v=
,
,a=
,因为B、C的轨道半径相同,大于A的轨道半径,所以A的线速度最大,B、C的线速度大小相等,B、C的周期相等大于A的周期.故A、B错误.
C、因为A的向心加速度大于B、C的向心加速度,可知A的向心力大于B的向心力,因为C的质量最大,所以C的向心力大于B的向心力.故C错误.
D、因为中心天体相同,根据开普勒第三定律,知
.故D正确.
故选D.
点评:解决本题的关键掌握开普勒第三定律以及万有引力提供向心力这一理论,并能灵活运用.
解答:解:A、根据
C、因为A的向心加速度大于B、C的向心加速度,可知A的向心力大于B的向心力,因为C的质量最大,所以C的向心力大于B的向心力.故C错误.
D、因为中心天体相同,根据开普勒第三定律,知
故选D.
点评:解决本题的关键掌握开普勒第三定律以及万有引力提供向心力这一理论,并能灵活运用.
练习册系列答案
相关题目