题目内容
在光滑杆上穿着两个小球
、
,且
,用细线把两球连起来,当盘架匀速转动时,两小球刚好能与杆保持无相对滑动,如图提示,此时两小球到转轴的距离
与
之比为
[ ]
A.1∶1
B.
C.2∶1
D.1∶2
![]()
答案:D
解析:
解析:
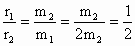
|
所以 |
练习册系列答案
相关题目
题目内容
在光滑杆上穿着两个小球
、
,且
,用细线把两球连起来,当盘架匀速转动时,两小球刚好能与杆保持无相对滑动,如图提示,此时两小球到转轴的距离
与
之比为
[ ]
![]()
|
所以 |