题目内容

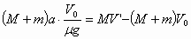
如图所示,质量为M的汽车带着质量为m的拖车在平直公路上以加速度a匀加速前进,当速度为v0时拖车突然与汽车脱钩,到拖车停下瞬间司机才发现.若汽车的牵引力一直未变,车与路面的动摩擦因数为μ,那么拖车刚停下时,汽车的瞬时速度是多大?

答案:
解析:

  以汽车和拖车系统为研究对象,全过程系统受的合外力始终为,该过程经历时间为V0/μg,末状态拖车的动量为零.全过程对系统用动量定理可得:

  

  


练习册系列答案
相关题目

违法和不良信息举报电话:027-86699610 举报邮箱:58377363@163.com

精英家教网