题目内容
物体做平抛运动时,它的位移方向与水平方向的夹角α的正切tanα随时间t变化的图象为( )A.
B.
C.
D.
【答案】分析:平抛运动的在水平方向上做匀速直线运动,在竖直方向上做自由落体运动,经过t时间,在竖直方向上的位移y=
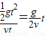
,在水平方向上的位移x=vt,根据tanα=
得出tanα与t的函数关系.
解答:解:在水平方向上有x=vt,在竖直方向上有y=
,则tanα=
=
,可见tanα与t成正比.故B正确,A、C、D错误.
故选B.
点评:解决本题的关键知道平抛运动的在水平方向上做匀速直线运动,在竖直方向上做自由落体运动,以及掌握水平方向和竖直方向上的位移公式.
解答:解:在水平方向上有x=vt,在竖直方向上有y=
故选B.
点评:解决本题的关键知道平抛运动的在水平方向上做匀速直线运动,在竖直方向上做自由落体运动,以及掌握水平方向和竖直方向上的位移公式.
练习册系列答案
相关题目
| A、第1s物体下落的高度为5m | B、第1 s物体下落的高度为10m | C、物体的初速度为5m/s | D、物体的初速度是10m/s |