题目内容
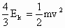
从地面以初速v竖直上抛一物体,不计空气阻力,以地面为零势能面,当物体的动能是其势能的3倍时,物体速度的大小是
[ ]
A.
B.
C.
D.
答案:B
解析:
解析:
|
物体上升的过程中机械能守恒,物体的动能为其势能的 3倍时, |
练习册系列答案
相关题目
题目内容
从地面以初速v竖直上抛一物体,不计空气阻力,以地面为零势能面,当物体的动能是其势能的3倍时,物体速度的大小是
[ ]
|
物体上升的过程中机械能守恒,物体的动能为其势能的 3倍时, |