题目内容
质量为1kg的物体以4m/s的速度沿x轴正方向运动,受到一个方向与x轴垂直、大小等于1N的恒力作用,运动了3s,在这3s内( )A.物体做匀速圆周运动
B.3s内物体的位移大小是16.5m
C.3s末物体的速度大小是7m/s
D.3s末物体的速度大小是5m/s
【答案】分析:将物体的运动分解为沿x轴正方向和垂直于x轴方向,在沿x轴正方向上做匀速直线运动,在垂直于x轴方向上做匀加速直线运动,根据运动的合成,判断合运动的轨迹,以及分别求出分运动的位移和速度,根据平行四边形定则,求出合速度、合位移.
解答:解:A、在沿x轴正方向上做匀速直线运动,在垂直于x轴方向上做匀加速直线运动,根据运动的合成,合加速度的方向与合速度的方向不在同一条直线上,且加速度恒定,做匀变速曲线运动.故A错误.
B、3s内在x轴方向上的位移x=vxt=4×3m=12m,在y轴方向上的位移y=
,合位移s=
.故B错误.
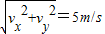
C、3s末在x轴方向上的速度vx=4m/s,在y轴方向上的速度vy=at=1×3m/s=3m/s,所以合速度v=
.故D正确.
故选D.
点评:解决本题的关键将物体的运动分解为沿x轴正方向和垂直于x轴方向,在沿x轴正方向上做匀速直线运动,在垂直于x轴方向上做匀加速直线运动.会运用平行四边形定则对速度、位移进行合成.
解答:解:A、在沿x轴正方向上做匀速直线运动,在垂直于x轴方向上做匀加速直线运动,根据运动的合成,合加速度的方向与合速度的方向不在同一条直线上,且加速度恒定,做匀变速曲线运动.故A错误.
B、3s内在x轴方向上的位移x=vxt=4×3m=12m,在y轴方向上的位移y=
C、3s末在x轴方向上的速度vx=4m/s,在y轴方向上的速度vy=at=1×3m/s=3m/s,所以合速度v=
故选D.
点评:解决本题的关键将物体的运动分解为沿x轴正方向和垂直于x轴方向,在沿x轴正方向上做匀速直线运动,在垂直于x轴方向上做匀加速直线运动.会运用平行四边形定则对速度、位移进行合成.
练习册系列答案
相关题目
| A、所受合外力大小为5 N | B、滑行的总时间为5 s | C、滑行的加速度大小为1 m/s2 | D、滑行的加速度大小为2.5 m/s2 |