ÌâÄ¿ÄÚÈÝ
ÈçͼËùÊ¾ÎªÒ»Õæ¿Õʾ²¨¹Ü£¬µç×Ó´ÓµÆË¿K·¢³ö£¨³õËٶȲ»¼Æ£©£¬¾µÆË¿ÓëA°å¼äµÄ¼ÓËÙµçѹ¼ÓËٺ󣬴ÓA°åÖÐÐÄ¿×ÑØÖÐÐÄÏßKOÉä³ö£¬È»ºóÑØÖÐÐÄÏß½øÈëÁ½¿éƽÐнðÊô°åM¡¢NÐÎ³ÉµÄÆ«×ªµç³¡ÖУ¨Æ«×ªµç³¡¿ÉÊÓΪÔÈÇ¿µç³¡£©£¬µç×Ó½øÈëM¡¢N¼äµç³¡Ê±µÄËÙ¶ÈÓëµç³¡·½Ïò´¹Ö±£¬µç×Óͨ¹ýƫתµç³¡ºó´òÔÚÓ«¹âÆÁÉϵÄPµã£®ÒÑÖª¼ÓËÙµçѹΪU1£¬M¡¢NÁ½°å¼äµÄƫתµçѹΪU2£¬Á½°å¼äµÄ¾àÀëΪd£¬°å³¤ÎªL1£¬°åÓҶ˵½Ó«¹âÆÁµÄ¾àÀëΪL2£¬µç×ÓµÄÖÊÁ¿Îªm£¬µçºÉÁ¿Îªe£®ÊÔÇ󣺣¨1£©Pµãµ½OµãµÄ¾àÀ룻
£¨2£©ÈôÒÑÖªL1=6cm£¬d=2cm£¬U1=900V£®ÎªÊ¹µç×ÓÄÜ´ÓM¡¢NÁ½°å¼ä·É³ö£¬Æ«×ªµçѹU2×î´ó²»Äܳ¬¹ý¶àÉÙ£¿
¡¾´ð°¸¡¿·ÖÎö£º£¨1£©µç×ÓÏȾ¼ÓËٵ糡¼ÓËÙ£¬Óɶ¯Äܶ¨Àí¿ÉÇó³ö¼ÓËÙ»ñµÃµÄËÙ¶È£®ÔÙ½øÈëÆ«×ªµç³¡×öÀàÆ½Å×Ô˶¯£¬ÔËÓÃÔ˶¯µÄ·Ö½â·¨£¬ÓÉÅ£¶ÙµÚ¶þ¶¨ÂɺÍÔ˶¯Ñ§¹«Ê½Çó³öƫת½Ç¶ÈµÄÕýÇÐºÍÆ«×ª¾àÀ룮×îºóµç×ÓÀ뿪ƫתµç³¡ºó×öÔÈËÙÖ±ÏßÔ˶¯£¬Óɼ¸ºÎ֪ʶÇó³öPµãµ½OµãµÄ¾àÀ룻
£¨2£©µ±µç×Ó¸ÕºÃÀ뿪ƫתµç³¡Ê±£¬Æ«×ªµçѹ×î´ó£¬´Ëʱµç×ӵį«×ª¾àÀëµÈÓÚ°å¼ä¾àÀëµÄÒ»°ë£¬ÓÉ£¨1£©ÎʵĽá¹û£¬Çó³öƫתµçѹµÄ×î´óÖµ£®
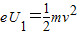
½â´ð£º½â£º£¨1£©Éèµç×Ó¾¼ÓËÙ»ñµÃµÄËÙ¶ÈΪv£¬Óɶ¯Äܶ¨ÀíµÃ£º

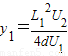
Éèµç×ÓÀ뿪ƫתµç³¡Ê±Ñص糡·½ÏòµÄƫת¾àÀëΪy1¡¢¼ÓËÙ¶È´óСΪa¡¢Æ«×ª½Ç¶ÈΪ¦Õ£º
£¬
ˮƽ·½Ïò£º
ÊúÖ±·½Ïò£º
£¬
Ôò
Pµã¶ÔOµãµÄ¾àÀëΪ£ºy2=y1+L2tan¦Õ
ÁªÁ¢½âµÃ£º
£¨2£©ÓÉ£¨1£©¿ÉµÃ£¬µç×ÓÀ뿪ƫתµç³¡Ê±£º
µç×ÓÒªÀ뿪ƫתµç³¡£¬ÐëÂú×㣺
½âµÃ£ºU2¡Ü200V£¬ËùÒÔÆ«×ªµçѹU2×î´ó²»Äܳ¬¹ý200V£®
´ð£º£¨1£©Pµãµ½OµãµÄ¾àÀëΪ
£®
£¨2£©ÎªÊ¹µç×ÓÄÜ´ÓM¡¢NÁ½°å¼ä·É³ö£¬Æ«×ªµçѹU2×î´ó²»Äܳ¬¹ý200V£®
µãÆÀ£º±¾ÌâÊdz£¼ûµÄ¼ÓËÙºÍÆ«×ª×éºÏÎÊÌ⣬¼ÓËÙ¹ý³Ì£¬Óɶ¯Äܶ¨ÀíÇóËÙ¶È£¬Æ«×ª¸ù¾ÝÔ˶¯µÄºÏ³ÉºÍ·Ö½â·¨½øÐÐÑо¿£®
£¨2£©µ±µç×Ó¸ÕºÃÀ뿪ƫתµç³¡Ê±£¬Æ«×ªµçѹ×î´ó£¬´Ëʱµç×ӵį«×ª¾àÀëµÈÓÚ°å¼ä¾àÀëµÄÒ»°ë£¬ÓÉ£¨1£©ÎʵĽá¹û£¬Çó³öƫתµçѹµÄ×î´óÖµ£®
½â´ð£º½â£º£¨1£©Éèµç×Ó¾¼ÓËÙ»ñµÃµÄËÙ¶ÈΪv£¬Óɶ¯Äܶ¨ÀíµÃ£º
Éèµç×ÓÀ뿪ƫתµç³¡Ê±Ñص糡·½ÏòµÄƫת¾àÀëΪy1¡¢¼ÓËÙ¶È´óСΪa¡¢Æ«×ª½Ç¶ÈΪ¦Õ£º
ˮƽ·½Ïò£º
ÊúÖ±·½Ïò£º
Ôò
Pµã¶ÔOµãµÄ¾àÀëΪ£ºy2=y1+L2tan¦Õ
ÁªÁ¢½âµÃ£º
£¨2£©ÓÉ£¨1£©¿ÉµÃ£¬µç×ÓÀ뿪ƫתµç³¡Ê±£º
µç×ÓÒªÀ뿪ƫתµç³¡£¬ÐëÂú×㣺
½âµÃ£ºU2¡Ü200V£¬ËùÒÔÆ«×ªµçѹU2×î´ó²»Äܳ¬¹ý200V£®
´ð£º£¨1£©Pµãµ½OµãµÄ¾àÀëΪ
£¨2£©ÎªÊ¹µç×ÓÄÜ´ÓM¡¢NÁ½°å¼ä·É³ö£¬Æ«×ªµçѹU2×î´ó²»Äܳ¬¹ý200V£®
µãÆÀ£º±¾ÌâÊdz£¼ûµÄ¼ÓËÙºÍÆ«×ª×éºÏÎÊÌ⣬¼ÓËÙ¹ý³Ì£¬Óɶ¯Äܶ¨ÀíÇóËÙ¶È£¬Æ«×ª¸ù¾ÝÔ˶¯µÄºÏ³ÉºÍ·Ö½â·¨½øÐÐÑо¿£®
Á·Ï°²áϵÁдð°¸
Ïà¹ØÌâÄ¿