ÌâÄ¿ÄÚÈÝ

ÔÚˮƽ³¤Ö±µÄ¹ìµÀÉÏ£¬ÓÐÒ»³¤¶ÈΪLµÄƽ°å³µÔÚÍâÁ¦¿ØÖÆÏÂʼÖÕ±£³ÖËÙ¶Èv0×öÔÈËÙÖ±ÏßÔ˶¯£®Ä³Ê±¿Ì½«Ò»ÖÊÁ¿ÎªmµÄС»¬¿éÇá·Åµ½³µÃæµÄÖе㣬»¬¿éÓë³µÃæ¼äµÄ¶¯Ä¦²ÁÒòÊýΪ¦Ì£®

(1)Ö¤Ã÷£ºÈô»¬¿é×îÖÕÍ£ÔÚС³µÉÏ£¬»¬¿éºÍ³µÄ¦²Á²úÉúµÄÄÚÄÜÓ붯Ħ²ÁÒòÊý¦ÌÎ޹أ¬ÊÇÒ»¸ö¶¨Öµ£®

(2)ÒÑÖª»¬¿éÓë³µÃæ¼ä¶¯Ä¦²ÁÒòÊý¦Ì£½0.2£¬»¬¿éÖÊÁ¿m£½1 kg£¬³µ³¤L£½2 m£¬³µËÙv0£½4 m/s£¬È¡g£½10 m/s2£¬µ±»¬¿é·Åµ½³µÃæÖеãµÄͬʱ¶Ô¸Ã»¬¿éÊ©¼ÓÒ»¸öÓë³µÔ˶¯·½ÏòÏàͬµÄºãÁ¦F£¬Òª±£Ö¤»¬¿é²»ÄÜ´Ó³µµÄ×ó¶ËµôÏ£¬ºãÁ¦F´óСӦ¸ÃÂú×ãʲôÌõ¼þ£¿

(3)ÔÚ(2)µÄÇé¿öÏ£¬Á¦FÈ¡×îСֵ£¬Òª±£Ö¤»¬¿é²»´Ó³µÉϵôÏ£¬Á¦FµÄ×÷ÓÃʱ¼äÓ¦¸ÃÔÚʲô·¶Î§ÄÚ£¿

´ð°¸£º
½âÎö£º

¡¡¡¡(1)¸ù¾ÝÅ£¶ÙµÚ¶þ¶¨ÂÉ£¬»¬¿éÏà¶Ô³µ»¬¶¯Ê±µÄ¼ÓËÙ¶È

¡¡¡¡¡¡(1·Ö)

¡¡¡¡»¬¿éÏà¶Ô³µ»¬¶¯µÄʱ¼ä¡¡(1·Ö)

¡¡¡¡»¬¿éÏà¶Ô³µ»¬¶¯µÄ¾àÀë¡¡(1·Ö)

¡¡¡¡»¬¿éÓ복Ħ²Á²úÉúµÄÄÚÄÜ¡¡(1·Ö)

¡¡¡¡ÓÉÉÏÊö¸÷ʽ½âµÃ(Ó붯Ħ²ÁÒòÊý¦ÌÎ޹صֵ͍)¡¡(1·Ö)

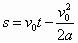
¡¡¡¡(2)ÉèºãÁ¦FÈ¡×îСֵΪF1£¬»¬¿é¼ÓËÙ¶ÈΪa1£¬´Ëʱ»¬¿éÇ¡ºÃµ½´ï³µµÄ×ó¶Ë£¬Ôò

¡¡¡¡»¬¿éÔ˶¯µ½³µ×ó¶ËµÄʱ¼ä¡¡¢Ù

¡¡¡¡Óɼ¸ºÎ¹ØÏµÓС¡¢Ú¡¡(1·Ö)

¡¡¡¡ÓÉÅ£¶Ù¶¨ÂÉÓС¡¢Û¡¡(1·Ö)

¡¡¡¡ÓÉ¢Ù¢Ú¢Ûʽ´úÈëÊý¾Ý½âµÃ£¬¡¡(2·Ö)

¡¡¡¡ÔòºãÁ¦F´óСӦ¸ÃÂú×ãÌõ¼þÊÇ¡¡(1·Ö)

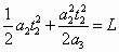
¡¡¡¡(3)Á¦FÈ¡×îСֵ£¬µ±»¬¿éÔ˶¯µ½³µ×ó¶Ëºó£¬ÎªÊ¹»¬¿éÇ¡²»´ÓÓÒ¶Ë»¬³ö£¬Ïà¶Ô³µÏÈ×öÔȼÓËÙÔ˶¯(ÉèÔ˶¯¼ÓËÙ¶ÈΪa2£¬Ê±¼äΪt2)£¬ÔÙ×öÔȼõËÙÔ˶¯(ÉèÔ˶¯¼ÓËÙ¶È´óСΪa3)£®µ½´ï³µÓÒ¶Ëʱ£¬Óë³µ´ï¹²Í¬ËÙ¶È£®ÔòÓÐ

¡¡¡¡¡¡¢Ü¡¡(1·Ö)

¡¡¡¡¡¡¢Ý¡¡(1·Ö)

¡¡¡¡¡¡¢Þ¡¡(1·Ö)

¡¡¡¡ÓɢܢݢÞʽ´úÈëÊý¾Ý½âµÃ¡¡(1·Ö)

¡¡¡¡ÔòÁ¦FµÄ×÷ÓÃʱ¼ätÓ¦Âú×㣬¼´¡¡(2·Ö)


Á·Ï°²áϵÁдð°¸
Ïà¹ØÌâÄ¿

Î¥·¨ºÍ²»Á¼ÐÅÏ¢¾Ù±¨µç»°£º027-86699610 ¾Ù±¨ÓÊÏ䣺58377363@163.com

¾«Ó¢¼Ò½ÌÍø